エントランスへはここをクリック   

一般大気循環理論
第1章
ТЕОРИЯ ОБЩЕЙ ЦИРКУЛЯЦИИ АТМОСФЕРЫ

モホフ、A.V. エリセエフ.、K.M.シャンタリンスキー N.A 共著

Ю.П. Переведенцев, И.И. Мохов, А.В. Елисеев

投稿日:2021年1月29日
日本語訳:青山貞一 東京都市大学名誉教授

ミランコヴィッチメニューへ戻る

一般大気循環理論 224p ロシア語
モホフ A.V、エリセエフ K.M.、 シャンタリンスキー NA 共著
https://core.ac.uk/download/pdf/197368962.pdf

第1章  第2章  第3章  第4章  第5章  第6章  第7章  参考

本書は「水文気象学を学習している高等教育機関の学生のための教材として、水文気象学の分野の教育教育方法学会によって承認されました。UDC 551.5 LBC 26.23 P27科学編集者-キャンディー。 geogr。

サイエンスB.G. Sherstyukov(VNIIGMI-MCD)著者:Yu.P。 Perevedentsev、I.I。モホフ、A.V。エリセエフ、K.M。シャンタリンスキー、N.A。 Vazhnova Perevedentsev Yu.P. P 27 大気循環の理論:教科書/ Yu.P. Perevedentsev、I.I。モホフ、A.V。エリセエフ他;科学 ed。 E.P.ナウモフ。 -カザン

科学、協会。 E.P.ナウモフレビュアー:博士物理マット。科学、教授。 N.S.シドレンコフ(ロシア連邦水文気象センター)博士geogr。

un-t、2013 .-- 224p。 ISBN 978-5-00019-087-6大気の一般循環の構造、それを支える物理的メカニズム、大規模な大気プロセスのエネルギーに関する情報が提供されています。天候と気候の形成における循環プロセスの役割が示されています。大気の一般的な循環と、気象および気候予測におけるそれらの使用の数値モデルの例が示されています。

太陽系の惑星大気のダイナミクスが考慮されます。 IAP RASの中間的な複雑さの気候モデルを使用して、地球の気候の将来の変化をモデル化した結果が示されています。 Perevedentsev Yu.P.一般大気循環理論:教科書/ Yu.P. Perevedentsev、I.I。モホフ、A.V。 Eliseev et al。; ed。 E.P.ナウモフ。 -カザン:カザン大学、2013年.-- 224pp。


本書では大気の一般的な循環の構造、循環に供給する物理的メカニズム、および大規模な大気プロセスのエネルギーに関する章が含まれています。気象および気候レジームの開発において循環プロセスが果たす役割が示されています。

大気の一般的な循環の数値モデルの例と、それらの天気と気候の予測への応用も教科書に含まれています。太陽系の惑星の大気のダイナミクスについて説明します。この教科書は、中程度の複雑さのIAPRAS気候モデルを使用した将来の気候変動のモデリングの結果によってサポートされています。 UDC 551.5 LBC 26.23 ISBN 978-5-00019-087-6©著者グループ、2013©Kazan University、2013

目次…………………………………………………………………………………………5
はじめに……………………………………………………………………………………7
第1章大気プロセスとその変化…………………………………………………………10.
 1。惑星地球に関する一般情報……………………………………………………… 101.
 2。大気プロセスの時空間スケール……………………………………………………131
 3。大気の乱れとその形成………………………………………………………………22
第2章。大気の一般的な循環……………………………………………………………28.
 1。一般的な大気循環パラメータ……………………………………………………….28.
 2。大気の一般的な循環の性質と構造………………………………………………… 36
 .3。大気作用の中心………………………………………………………………………43.
 4。北極の振動、北大西洋および太平洋の振動………………………………………45.
 5。エルニーニョ-南方振動……………………………………………………………..56.
 6。北半球の熱帯地方における大気循環………………………………………………59.
 7。閉じた渦、ソリトン、モドン。アンチサイクロンのブロック。惑星の波……………….65.
 8。地域的な気候変動の循環システムの影響………………………………………………
 9。離れた時の周りの限界.………………………………………………………………… 70
第3章。大気のエネルギー……………………………………………………………82.
 1。角運動量バランス………………………………………………………………… 83.
 2。水分バランス………………………………………………………………………88.
 3。エネルギーバランス………………………………………………………………90.
 4。大気の一般循環のエネルギー………………………………………………….92
第4章。大気の一般循環の流体力学的モデル…………………………………… 99.
 1。温度と風速の帯状分布のモデル化…………………………………………... 99.
 2。大気の一般循環のスペクトル流体力学的モデル…………………………… 105.
 3。ロシアの水文気象センターのグローバルスペクトルモデル……………………118.
 4。大気修正セミラグランジュの季節大気循環モデルの再生.…………………… 121
第5章大気の予測可能性と気象予測………………………………………………126
 1。天候と気候の予測可能性…………………………………………………………126
 2。流体力学的モデルの助けを借りた天気予報……………………………………132
第6章。太陽系の惑星大気の循環の特徴………………………………………………
 1。惑星の大気中の帯状循環とその維持……………………………………… 146
 .2。太陽系の惑星の大気の熱力学的レジーム………………………………150
第7章。 IAPRASの中間の複雑さの気候モデルを使用した気候変動のモデリング………167.
 1。 IAP RASCMを使用した気象および海洋プロセスのモデリング........................... 1687.
 2。 IAP RASの気候モデルを使用して推定されたXX〜XXIII世紀の気候変動……..182
文献………………… ………………………………………………………………… 197
付録…………………………………………………………………………………… 209


はじめに

何年もの間、基本コース「一般大気循環の理論」は、ロシアの大学の気象学の学生に教えられてきました。近年、特に大規模な大気プロセスの数値モデリングの方向で、大気のダイナミクスに関するかなりの数の科学的出版物があるにもかかわらず、国内の教育文献は事実上ありません。

例外はYu.Pによる教科書です。 Perevedentseva、P.N。ベロフ「大気と気候の一般循環の理論」(カザン、カザン州立大学、1987年)およびL.T.教授の教科書Matveeva「地球の大気と気候の一般循環の理論」、1991年にGidrometeoizdatによって発行されました。

しかし、それ以来、地球の大気と太陽系の惑星の科学と学生を教える技術の両方に大きな変化がありました。特に、専門家のマルチレベルトレーニングへの移行があり、特に行政において、学生の独立した仕事に大きな役割が与えられています。

確かに、近年、大気と海洋の一般的な循環のグローバルモデルの作成において大きな進歩が達成され、研究の情報ベースが拡大しました。大規模なプロセスの数学的モデリングの成果を気象フィールドと天候の予測の実践に導入するプロセスが強化されています。

したがって、さまざまな規模の大気プロセスのダイナミクス、OCAのコンポーネントのモデリングの結果、および天候と気候の予測におけるそれらの使用に関する広範な資料を一般化することが必要になりました。

さらに、地球物理学的媒体のダイナミクスとエネルギー学の基本的な基礎、異なる時間間隔でのそれらの相互作用の分野における理論的気象学の成果を反映することが望ましい。特に興味深いのは、太陽系の惑星の大気のダイナミクスであり、その実験的および理論的研究は数十年しか続きません。

講義コースは、地球物理学的流体力学、動的気象学、大気と気候の一般循環のプロセスの数値モデリングの分野における国内外の研究の成果、ならびに天候と気候の数値予測、環境の状態における大気運動の役割の6つの応用問題からの情報に基づいています。

この本の科学的および方法論的基礎は、その著者の一人によって編集された「大気の一般循環の理論」および「気候の理論」の分野のプログラムであり、その材料はさまざまな文学的な情報源から選択されました。

コースプログラムをより深く知るために、本の最後に推奨される文献のリストがあります。付録は、1961年から2010年までの期間の平均を示しています。北半球と南半球のさまざまなレベルの再分析データに従って作成された、高高度セクションと気温および風速分布のマップです。

この出版物は、欧州委員会の支援を受けて、TEMPUSJPHES159352「気象学における資格フレームワークの開発」プロジェクトの枠組みの中で実施されました。この出版物の内容は著者の責任であり、欧州委員会の見解を反映するものではありません。


序論

一般大気循環(GAC)の決定には、2つの位置からアプローチできます。最も有名なものは次のとおりです。「大気の一般的な(グローバルな)循環は、大陸や海のサイズに匹敵する、そのような水平範囲(スケール)の気流(風)の全体として理解されます。 OCAには、両半球の温暖な緯度での西向きの輸送、亜熱帯の貿易風、モンスーン、ジェット流、惑星波の運動システム、サイクロン、アンチサイクロンなどの気流システムが含まれています」(Matveev、1991)。

H.P. Poghosyan(1972)はまた、OCAは基本的なタイプの動きのセットであり、そのため、大規模な空気の塊が熱帯圏、成層圏、中圏で水平方向と垂直方向に交換されると考えています。大規模な気流は、地球の天候と気候の形成に重要な役割を果たします。なので。 Monin(1982)は、一般的な大気循環を、大気状態の大規模なコンポーネントの統計的集合として理解しています。これは、大気の有効厚さH = Ps / gs〜10kmよりもはるかに大きいスケールを持つ大気の状態を表すグローバルフィールドの空間的不均一性として理解されます。

これらは、グローバルな循環(ゾーンとモンスーン)とシノプティックプロセスです。ロスビー-ブリノバ波、o/ fgHL(オブホフスケール)のオーダーの典型的な水平スケールのバロトロピック、およびロスビー変形半径L = NH / fのオーダーのスケールのバロクリニック(Monin、1982)。ここで、Psは地球の圧力、gは重力の加速度、sは地球の大気の密度、NはBrentVäisäläの周波数、fはコリオリの力です。

したがって、GCAの定義は、シノプティック気象学(古典的な定義)の観点からも、統計的流体力学の観点からも、気候理論の観点からもアプローチできます。優れた科学者E.N.によるこのトピックに関する議論1970年にGidrometeoizdatから出版された基本的な本「一般的な大気循環の性質と理論」の著者であるローレンツ。

この本の序文で、彼は次のように書いています。一部の人にとっては、これは特定の時間平均された大気の状態であり、ローカルキャラクターのすべての地理的特徴が保持されます。他の人にとっては、それは特定の瞬間の大気の特定の状態(範囲はグローバル)であり、気候変動が天候の変化を決定します。

時々それは、熱帯間収束帯、ジェット流、ほとんどの半定常サイクロンおよびアンチサイクロン中心、ならびに冬と夏のモンスーンを含む、絶えずまたはほぼ絶えず現れる大気循環のいくつかの概要的特徴のセットです。一部の人にとって、これらは循環の定量的な統計的特徴です。」流体力学と動的気象学に基づいて開発されたOCA理論は、航空学的データの蓄積により、3次元空間での循環プロセスを研究することが可能になりました。

ここ数十年で、マルチスケール大気プロセスの物理学とダイナミクスの研究におけるコンピューター支援数値実験の積極的な使用により進歩が見られました。多くの大気一般循環モデル(AOGCM)が開発され、海洋ブロックによって補完され、より複雑なAOGCMが出現しました。現在、数学的モデリングは、大気循環を研究および予測するための主要なツールになっています。

私たちの国では、OCAモデルはINM RAS、IAP RAS、GGOimで開発されたことが知られています。 A.I.ロシア連邦の水文気象センター、Voeikov。これらのモデルにより、気象量のフィールドを再現し、OCAの個々のオブジェクトをシミュレートし、さまざまな期間の天気を予測することができます。わが国の一般大気循環理論の発展に大きく貢献したのはI.A. Kibel、E。N。Blinova、A。M。 Obukhov、A.S。モニン、G.I。マルチュク、V.P。ディムニコフ他E.N. Lorenz、J。Smagorinsky、D。Charney、N。Phillips、I。Mintsなど。

現在、AOGCMは、21〜22世紀の気候開発シナリオの開発に積極的に使用されています。さらに、それらは、生物圏、下にある表面、土壌などで発生する炭素サイクルおよびプロセスの説明により、より複雑になります。それ以前は、将来の気候をモデル化する際に、大気中への温室効果ガス放出のさまざまなシナリオが使用されていました。 9(Poghosyan、1972; Ugryumov、2006)によると、大気の循環は、次のような多くの要因によって決定されます。地球全体に不均一に分布している太陽の放射エネルギー。コリオリフォース;大陸と海の分布;下にある表面と大気との境界での摩擦力。

第I章 大気プロセスとその変化

 1.1 惑星地球に関する一般情報
 1.2 大気プロセスの時空間スケール
 1.3 大気の乱れとその形成

1.1 惑星地球に関する一般情報

地球物理学的データによると、現在の地球は次の不均一な層(シェル)で構成されています(Monin、1972):

1。大気は、下から固体または液体の下にある表面で囲まれた外側のガス状エンベロープです。
2.水圏(主に世界の海)は、固体の地球を部分的に覆う水のエンベロープです。
3.平均厚さ33kmの地球の地殻(層A)。
4.深さ2920kmに下部境界があるマントル。
5.コア。

これらの地球圏の簡単な説明は、本(Pavlov、2006)に記載されています。ジオイドと呼ばれる地球の表面は、風や流れに邪魔されない世界の海の表面に最も近い条件付きの表面であり、赤道半径re = 6378.16 km、極半径rp = 6356.78kmの回転楕円に非常に近いです。地球の平均半径(等面積球の半径)は、圧縮で6371kmです。 258.2981eperrreこの参照楕円からのジオイドの偏差はどこでも100mを超えません。地球の質量(M)は5.98 109兆トン、地球の物質の1cm3の平均質量は5.52gです。

平均地殻の密度は2.8g / cm3とされており、地球の深い腸では密度が高くなっています。地球の慣性モーメントは、その質量と平均半径の2乗の積の3分の1です。表面の重力加速度は、1 cm / s 2(gal)の単位で測定されます。赤道での重力の加速は平均ge = 978.049 galであり、極では遠心加速はなく、重力の総加速gpは赤道よりも大きくなります。 1891eEePggg地球の表面のさまざまなポイントでの重力加速度の、参照楕円体の表面の標準値からの偏差は重力異常と呼ばれ、数十ミリガル、さらには数百ミリガルに達する可能性があります。

地球には磁場があります。磁気誘導の測定単位はガウス(Gs)です。測定の結果、地球はグリーンランド(73°N、100°W)の近くに南極(コンパス針の北端が引かれている)と南極大陸のオーストラリアセクター(68°S)に北極を持つ磁石であることが示されました。 、143°E)。地磁気の誘導の大きさは、磁極で最大(南極で0.7 G、グリーンランド極で0.6 G)であり、磁気赤道に沿って最小です。 (Pavlov、2006)によると、磁化された棒のモデルによれば、南の磁極は北半球(φ= 78.2°、λ= 68.8°W)にあり、南-北のφ= 78.2にあります。

°、λ= 111.2°E)。大陸地殻のさまざまな深さの井戸と鉱山での測定は、温度が深さとともに約30度/ kmの速度で上昇することを示しています。これは地熱フラックスの発生につながり、陸上では値(1.2÷1.6)10- 6 cal / cm 2s。地球は熱損失のために毎年約1028エルグを失います。タンパク質-核酸の生命は、その進化の長い期間にわたって地球上に形成されてきました。

総バイオマスは2〜3兆トン、その98〜99%は陸上、主に森林植物、340億トンは海にあります(そのうちの3分の2は動物プランクトン、約3分の1は底生動物、5%は藻類です)そして3%、または10億トン、-魚とイカ)。地球上には合計35種類の陸生・水生の動植物が生息している(Monin、1980)。その軸の周りの地球の回転の速度は絶えず変化しています。遠い昔、地球はより速く回転し、1日の期間は約5時間でした。これは、GCAの性質に自然に影響を及ぼしました。

地球の回転が不安定な現代において、N.S。シドレンコフ(シドレンコフ、2004年)。過去3世紀にわたって、これは次のように発生しました。 XVIIIの初めからXIX世紀の半ばまで。地球の回転速度はほとんど変化しませんでした。 XIX世紀の後半から。現在まで、回転角速度の著しい不規則な変動が、60〜70年のオーダーの特徴的な時間で観察されてきました。

地球は1870年に最も速く回転し、その日の期間は基準より0.003秒短く、最も遅く、1903年に回転しました(地球の日は基準より0.004秒長かった)。 1903年から1934年にかけて、30年代の終わりから、地球の回転が加速しました。 1972年まで減速が見られ、1973年から現在に至るまで、地球はその回転を加速させています。 XX世紀に観測された地球の回転角速度の振動。 (1903年から1972年まで)はしばしば60-70歳と呼ばれます。 XIX世紀に。 1845年から1903年までほぼ同時期の変動が記録された。

1955年以降、原子時計の使用以来、地球の回転速度の変動は1か月以上の期間で記録されています。地球の回転速度は4月と11月に最も低く、1月と7月に最も高くなります。 1月の最大値は、7月の最大値よりも大幅に低くなっています。

7月の基準からの地球の日の期間の最小偏差と4月と11月の最大偏差の差は0.001秒です。地球回転データは水文気象学で使用されます。したがって、地球の回転の角速度の季節変動に関するデータは、風の角運動量の変動を決定することを可能にします。地球の回転の季節的な不規則性は、半球間熱エンジンの働きを反映しており、温度差、空気循環の強さ、および北半球と南半球の間の水分交換の指標として使用できます。

地球の回転速度と経年極の動きの10年間の変動は、南極大陸、グリーンランドの氷塊と世界の海の水の変化を計算するために使用されます。地球の回転速度の10年間の変動は、気候変動を監視し、ある程度予測するために使用できます。

地球の回転速度の潮汐変動によると、N.S。シドレンコフは、大気中のシノプティックプロセスの進化を予測しています。多くの作品で、地球の回転速度(SVR)と、さまざまな時間スケールでの天候および気候変動との関係が明らかになりました。 SVZは、気候温暖化の期間中に増加し、冷却の期間中に減少します。

北半球(25〜85°Nのゾーン)で5年間に平均した気温と、20世紀の1日の平均年間期間との関係。絶対値が0.90を超える負の相​​関係数が特徴です。シベリアの棚の海の総氷被覆率とその日の平均年間期間の間には顕著な関係があります:それらの異常の兆候と他の指標は100%のケースで一致します(期間1936-1995)(Gudkovich、Kovalev、Nikiforov、2004)。

(Perevedentsev et al。、2012)では、北半球の年間気温異常と1日の長さの異常との間にかなり高い関係が見られました(r = 0.66)。 1.2。大気プロセスの時空間スケール大気は継続的に動いています。地表(風)に対する空気の動きは、水平面内の不均一な圧力分布によって生成されます。

地球の回転の偏向力と摩擦の力は、空気の動きを確立する上で大きな役割を果たします(Matveev、2000)。大気は、広範囲の空間的および時間的スケールのプロセスによって特徴付けられます。空間スケールは外乱のサイズまたは波長によって決定され、時間スケールはそれらの存在時間または振動の周期によって決定されます。

大気中で観察されるすべてのプロセスは、通常、ミクロ、メソ、およびマクロスケールに分けられます。表1.1に示す最も有名なスケール分類の1つは、1975年にI. Orlanskiによって提案されました(Kalinin、2001)。







(Kalinin、2001)に記載されているように、大気のプロセスと現象の時間的および空間的スケールは、残酷な依存関係によってリンクされていません。スケールによる現象の分類では、重要なのは気象オブジェクトのサイズではなく、作用力の比率です。

したがって、サイクロンとアンチサイクロン(マクロスケールのオブジェクト)の場合、コリオリの力とバリック勾配の力のバランスが最も重要です。それらの運動エネルギーの源は、水平方向の温度コントラストの潜在的なエネルギーであり、粒子の垂直方向の速度は、水平方向のものと比較して小さい。

メソスケール現象の場合、最も重要な役割は浮力によって果たされ、コリオリ力の影響は著しく減少します。それらのエネルギー源は、静的不安定性の潜在的エネルギーまたは大規模な運動の運動エネルギーであり、垂直方向の速度は水平方向の速度と比較して小さいとは見なされません。 F。 VeltischevとV.M. 2006年のステパネンコ(表1.2)。気象量の時間変動の詳細な分類-風速、温度、圧力、湿度など。 -(Monin、1969)に示されています。この分類によれば、振動周期の全スペクトル(数分の1秒から数万年まで)は9つの間隔に分割できます。

数分の1秒から1分までの周期の微気候変動。小規模な乱流がそれらに最大の貢献をします。乱流に加えて、微気象学的振動の数には、音響および短周期重力波も含まれます。気象パラメータの激しい変動が比較的まれである、数分から数時間の期間の気象気象変動。したがって、この範囲のスペクトルには通常、広くて深い最小値があります。この最小値は、20分のオーダーの期間および大気の有効厚さH〜10kmのオーダーのスケールLに対応します。

この最小値は、スケールL >> Homの準2次元(準水平)シノプティック不規則性、スケールL <Hの本質的に3次元の微気象学的不規則性を分離します。 173.最大エネルギースペクトルが約= 4日で、数時間から数日までの周期のシノプティック変動。毎日の変動もこの間隔内にあります。シノプティックインターバルの高周波部分では、準水平シノプティックムーブメントの流体力学的不安定性により、大規模なムーブメントから小規模なムーブメントへのスペクトルに沿ったエネルギーのカスケード転送があります。

長期的な気象予測の問題にとって最大の関心事は、数週間から数か月に及ぶ世界的な変動です。これらのうち、最も研究されているのは、いわゆる「インデックスサイクル」です。子午線混合が弱い強い帯状電流の状態と子午線混合が強い弱い帯状電流の状態の間の惑星循環振動のサイクル。 「インデックスサイクル」期間は2週間近くです。5。季節変動-年間周期とその高調波による変動6。数年程度の周期での年々の変動。その中には、赤道成層圏の変動の26か月のリズム、太陽活動の11年周期があります。

経年変動、その顕著な例は20世紀前半の温暖化です。8。氷河期(紀元前65世紀)の終わり後の温暖化が知られている経年変動は、40〜20世紀にいわゆる「気候最適」につながりました。紀元前、いわゆる「大西洋下期」(紀元前10世紀から紀元3世紀)に気候が悪化し、4-10世紀に改善した。 AD、再び13-14世紀の悪化、15-16世紀の改善されています。

17世紀と19世紀の劣化。 (「リトルアイスエイジ」)9。プレストセンの氷河期:グンツ(紀元前500-475千年)、アーモンド(425-325千年)、リス(200-125千年)、ワーム(紀元前60-29千年) 。)、その間に地球の表層空気層の平均温度は約10°低下しました。

図では 1.1は、ミッチェルによって得られた、長期間にわたる温度変動のスペクトルの密度の分布の図を示しています。 特に、10万年、2万2千年、4万1千年の周期の変動が示されているが、これは地球の軌道のパラメータと地球の軸の傾きの変動と一致している。 数千万年から数億年のオーダーの18の周期で振動が発生します


図: 1.1。 ミッチェルによると、1時間から地球の年齢までの期間における下層大気の温度変動のスペクトルの密度


1.2。大気プロセスの時空間スケール  位置不明確

大気は継続的に動いています。地表(風)に対する空気の動きは、水平面内の不均一な圧力分布によって生成されます。地球の回転の偏向力と摩擦の力は、空気の動きを確立する上で大きな役割を果たします(Matveev、2000)。大気は、広範囲の空間的および時間的スケールのプロセスによって特徴付けられます。

空間スケールは外乱のサイズまたは波長によって決定され、時間スケールはそれらの存在時間または振動の周期によって決定されます。大気中で観察されるすべてのプロセスは、通常、ミクロ、メソ、およびマクロスケールに分けられます。表1.1に示す最も有名なスケール分類の1つは、1975年にI. Orlanskiによって提案されました(Kalinin、2001)。



(Aloyan、2008)では、大気運動とガス不純物のエネルギースペクトルF(ω)が考慮されています。表層の風速変動のエネルギースペクトルでは、関数の3つの最大値が異なる周波数範囲で見られます。1。高周波の極値は、3次元の乱流擾乱に対応します。 10〜300〜400 mの線形スケールが特徴です。地表からの高度では、極値は低周波数の領域にシフトします。 2.低周波の極値には、T = 5〜10日の特徴的な期間があります。これは、渦の水平方向のサイズが垂直方向のサイズよりもはるかに大きい場合の「平面乱流」を特徴とする大規模渦の寿命です(L >> H)。 3.このスペクトルの最大値の中間の狭いピークは、日周期の周波数に対応し、大気プロセスのエネルギーに大きな影響を与えません。

大、中、小のスケールの現象のこの分類は、主にモーションシステムの水平方向の寸法に基づいています。図のTからMまでの周波数範囲。 1.2は、数キロメートルから数千キロメートルの空間スケールに対応するメソスケール範囲を表します。 19この範囲の主な特徴は、その過渡的な性質です。外乱には、一部は3次元の乱流の特性があり、一部は準2次元の大規模な地層の特性があります。この大きさの現象は、既存のステーションのネットワークでの観測では調査するには小さすぎ、気象マストでの局所測定から調査するには大きすぎます。


図1.2. 表層の風速変動のエネルギースペクトル

以下の主な要因がメソプロセスのエネルギーに影響を与えます。

1)バロクリニックの不安定性、若いサイクロン、熱帯サイクロン、そよ風などの形成に寄与します。

2)対流不安定性、細胞雲構造;

3)下にある表面の地形的および熱的不均一性。

大気のダイナミクスを背景に、大気中の不純物やエアロゾルの移動に関連して、多くの物理化学的プロセスが行われています。大気の動きの空間スケールは、センチメートルサイズの小さな渦から大陸サイズの大きな空気塊の動きまで、7〜8桁の範囲で変化します。ガス不純物とエアロゾルの空間的変動性も、さまざまなスケールによって特徴付けられます(表1.3)。



大気中に浮遊する硫酸塩粒子の性質と挙動の規則性を理解するには、これらの物質のさまざまな供給源の共同の寄与を考慮し、粒子の輸送、拡散、排出のプロセス、およびそれらの微物理的および化学的特性の変化を考慮する必要があります。これらの特性は、核形成、凝縮、凝固、および化学変換のプロセスによるものです。世界的に、硫酸塩粒子は熱帯圏と成層圏で激しく形成されています。

それらは、熱帯圏と成層圏におけるエアロゾルの分散組成の変化につながる主要な要素です。粒子の化学組成はサイズによって大きく異なります。これは、エアロゾルの物理学と大気の化学にとって基本的に重要です。 A.E. Aloyanは、北極の熱帯圏における硫酸蒸気の輸送と変換のグローバル数値モデルを構築しました。多成分の微量汚染物質とエアロゾルのグローバル輸送、および北半球における硫酸雲の形成の数値モデルを検討します。

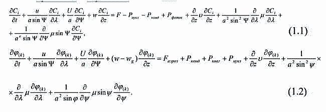
モデルは、座標系(λ、Ψ、z)の球形の地球に関連して考慮されます。ここで、λは経度、Ψは緯度の補数、zは下にある表面からの高さです。ガス不純物とエアロゾルの濃度の変化率の基本的な式は次のとおりです。



ここで)、1(iNiCg、)、1(kNkaはガス不純物とエアロゾルの濃度、NgとNaはそれぞれガス成分とエアロゾル関数の数、(u、v、w)は風速ベクトルの成分です方向、、 z、それぞれwgは重力沈下率、aは地球の平均半径、、はそれぞれ水平方向と垂直方向の乱流交換係数、FgとFaerosisはガス不純物とエアロゾルの発生源、Rkunl、Rkond、Rkoag 、Рфотは、核形成、凝縮、および光化学変換のプロセスを説明する演算子です。式(1.1)および(1.2)は、ドメインTOGDt、(ここで、G = S x [O、H];S :)、(0、2/0、Hは計算領域の上限、tzotz)、、、、 2()、、、(、 tz)、、、()、、、(、tztz)、、、()、、、() at2/。水平方向の乱流交換の係数を決定するには、Smagorinsky法を使用します。

計算領域の


水平方向の乱流交換の係数を決定するために、Smagorinsky法が使用されます。気象、罪の罪1つの罪1つの罪22ieii NUCL指揮写真iiiiC a C zaCzPFРРzCwC aCUautС境界層の22の特性は、大気の惑星境界層のパラメータ化を使用して計算されます。

1.3  大気の乱流とその形成

流体力学では、乱流運動は、秩序だった層状とは対照的に、通常、時間と空間のすべての流体力学的場の一定の脈動がある無秩序で混沌とした不安定な運動と呼ばれます。これらの動きの特性の変化はランダムな方法で発生するため、乱流プロセスはランダム関数の理論の方法を使用して統計的にのみ記述できます。

物理的な流体力学における層状運動と乱流運動をより厳密に区別するために、乱流のより正確な定義が与えられます。これは、次の特徴に基づいています(Shakina、1973)。1)乱流の渦は時間と空間にランダムに分布します。 2)散逸力と拡散が重要な役割を果たします。 3)エネルギーは、連続カスケードプロセスで1つのスケールから別のスケールに転送されます。

乱流は常に大気中に存在します。大気のダイナミクスにおけるそれらの役割は、特に熱、水分、運動量、さまざまな種類の不純物の移動の過程、異なるスケールの動きの間のエネルギーの交換、海と大気の相互作用において非常に大きいです。

したがって、乱気流は天候や気候に影響を与える要因の1つです。実用的な目的のために、どのような状況で乱流が発生するかを知ることが重要です。層状運動が乱流に変わるとき。流体力学では、慣性力と粘度力の比であるレイノルズ数(Re)が、いわゆる臨界レイノルズ数よりも大きい場合、つまり約2300に等しい場合に、このイベントが発生することが実験的に確立されています。



1955年以降、原子時計の使用以来、地球の回転速度の変動は1か月以上の期間で記録されています。地球の回転速度は4月と11月に最も低く、1月と7月に最も高くなります。 1月の最大値は、7月の最大値よりも大幅に低くなっています。 7月の基準からの地球の日の期間の最小偏差と4月と11月の最大偏差の差は0.001秒です。

地球回転データは水文気象学で使用されます。したがって、地球の回転の角速度の季節変動に関するデータは、風の角運動量の変動を決定することを可能にします。地球の回転の季節的な不規則性は、半球間熱エンジンの働きを反映しており、温度差、空気循環の強さ、および北半球と南半球の間の水分交換の指標として使用できます。地球の回転速度と経年極の動きの10年間の変動は、南極大陸、グリーンランドの氷塊と世界の海の水の変化を計算するために使用されます。

地球の回転速度の10年間の変動は、気候変動を監視し、ある程度予測するために使用できます。地球の回転速度の潮汐変動によると、N.S。シドレンコフは、大気中のシノプティックプロセスの進化を予測しています。多くの作品で、地球の回転速度(SVR)と、さまざまな時間スケールでの天候および気候変動との関係が明らかになりました。

SVZは、気候温暖化の期間中に増加し、冷却の期間中に減少します。北半球(25〜85°Nのゾーン)で5年間に平均した気温と、20世紀の1日の平均年間期間との関係。絶対値が0.90を超える負の相​​関係数が特徴です。シベリアの棚の海の総氷被覆率とその日の平均年間期間の間には顕著な関係があります:それらの異常の兆候と他の指標は100%のケースで一致します(期間1936-1995)(Gudkovich、Kovalev、Nikiforov、2004)。 (Perevedentsev et al。、2012)では、北半球の年間気温異常と1日の長さの異常との間にかなり高い関係が見られました(r = 0.66)。


第2章