エントランスへはここをクリック   

一般大気循環理論
第5章
ТЕОРИЯ ОБЩЕЙ ЦИРКУЛЯЦИИ АТМОСФЕРЫ

モホフ、A.V. エリセエフ.、K.M.シャンタリンスキー N.A 共著
Ю.П. Переведенцев, И.И. Мохов, А.В. Елисеев


日本語訳:青山貞一 東京都市大学名誉教授
投稿日:2021年1月22日

ミランコヴィッチメニューへ戻る

一般大気循環理論 224p ロシア語
モホフ、A.V。エリセエフ、K.M.。 シャンタリンスキー
https://core.ac.uk/download/pdf/197368962.pdf

第1章  第2章  第3章  第4章  第5章  第6章  第7章  参考

第5章大気の予測可能性と天気予報

 5.1 天候と気候の予測可能性
 5.2 流体力学的モデルの助けを借りた天気予報

5.1。気象と気候の予測可能性

1988年に「気象ダイナミクス」という本に掲載されたJ.Shuklaの記事「予測可能性」に続いて、まず大気プロセスの予測可能性の問題について考えてみましょう。現在、その方法論的重要性は失われていません。大気電流のダイナミクスは非線形数学方程式によって記述され、大気中の風速、温度、湿度の水平および垂直勾配の存在は、流体力学的および熱力学的不安定性の増大に寄与します。

大気の動きのこれらの特徴は、大気電流の決定論的予測可能性の上限を決定する主な要因です。さらに、使用される方程式と個々の物理プロセスのパラメータ化は不正確であり、これは流体力学モデルを使用した気象要素のフィールドの事前計算におけるエラーの原因です。

ただし、モデルが完全に正確であったとしても、初期条件の小さなエラーは、流れの内部不安定性と、異なる時間および空間スケールの外乱間の非線形相互作用により、エラーの増加につながる可能性があります。定量的には、正確なモデルによる場合でも、決定論的な天気予報の上限は、成長率と主なタイプの不安定性を補う可能性によって決定されます。

過去30年間にわたって、一定の時点での大気の状態の決定論的事前計算の上限を推定するために、いくつかの試みがなされてきました。天気。決定論的予測可能性の上限を推定することには、いくつかの根本的な困難があります。

同じモデルを使用して計算された2つの予測フィールド間の差異が、初期条件のわずかな差異がある場合、ランダムに選択された2つのシノプティックチャート(同じ季節)間の差異と同等であることが判明した場合、上位限界予測可能性が達成されました。これらの違いの尺度を選択することも必要です。

たとえば、127個のマップにプロットされ、対応するスケールで平均された値の差の二乗平均平方根値、相関係数、または時空間変動のその他の特性になりますか?単純な順圧モデルに基づく古典的な予測可能性に関するトンプソンの研究は、モデル方程式の積分の期間が長くなるにつれて初期条件の誤差が大きくなり、大気電流が1週間以上予測できないことを示しました。

Thompsonは、予測可能性の初期誤差のスケールへの依存性を確立し、天気予報を改善するためにステーションのネットワークを拡張し、モデルを改善する必要性を指摘しました。予測可能性の限界が存在する主な理由は、大気流の不安定性です。ローレンツは、子午線方向に2つのモードがあり、緯度方向に3つの高調波によって記述される各層の摂動を伴う帯状流の2層準地衡モデルを使用しました。各層には、南北方向に2つのモードがあります。

初期誤差を2倍にする時間は流れの構造に強く依存し、総観規模の観測の誤差を2倍にする時間は数日から数週間の範囲であり、平均して約4日であることが示された。ただし、時間と空間で平均化されたフィールドは、より適切に予測されます。 LiisとKraichnanは、乱流エネルギー交換の方程式をより完全に閉じて、実際の大気での測定から得られたスペクトルと同様の運動エネルギーの2次元スペクトルを使用すると、約2日後にエラーが2倍になることを示しました。

エラー倍加時間のこれらの推定値が、最新のGCAモデルを使用して得られた推定値と、アーカイブデータに従って過去にシノプティックプロセスのアナログを使用したローレンツの結果の両方に非常に近いことも非常に興味深いです。 Charney et al。は、GCAモデルを使用して、モデルによって再現されたプロセスの開発の古典的な予測可能性を研究した最初の人物でした。

彼らは、Smagorinsky、Mints、およびLiisによって開発された3つのモデルを使用して、ランダム分布の形式または正弦波の形式で最初に与えられた温度場誤差の成長率を分析しました。結果はモデルのタイプに強く依存し、それぞれのエラーの増加が異なることが判明しました。 OCAモデルを使用した予測可能性のその後の研究では、初期エラーの増加率はモデルの解像度の程度に依存することが示されました。

解像度が粗いほど、エラーの成長は遅くなります(Mints-Arakawa OCAモデルでは、エラーの倍加時間約5日でした)。予測可能性の研究に使用されるモデルは、Shukly et al。(Weather Dynamics、1988)の記事に記載されています。これは、流体力学の完全な方程式を使用したグローバルな9レベルモデルです。水平解像度は、緯度が4度、経度が5度です。適切にパラメータ化された放射プロセスが考慮されます。

交換、対流、乱流輸送。対応するグリッドポイントでの海面水温、土壌水分、雪の深さ、氷の厚さの年次変動は既知であると見なされます。重要な問題は、予測の最大リードタイムです。難しさは以下のとおりです。初期状態は、互いに十分に離れた距離にあることが多い不規則な観測所のネットワークでの観測データから決定されます。これは、観測点間の距離よりも小さい水平スケールの個々の動きがまったく記録されないという事実につながります。

初期データは、測定、補間、および丸めのランダムエラーによって歪められます。したがって、水熱力学の初期方程式の正確な解でさえ、リードタイムの​​増加に伴う非線形性のために増大する不可避の誤差に関連付けられます。他にも問題があります。

ローレンツは、さまざまな空間的および時間的スケールの運動の非線形相互作用のために、システムの状態は、最初の瞬間に近い2つの状態がそれほど永遠に残ることはないという意味で不安定であることを示しました。これはすべて、予測値と実際の値の間の不一致の増加につながります。

ただし、予測は、その誤差が予測値の平均的な気候分散を超えない限り、意味があります。この予測期間は、予測可能性制限と呼ばれます。その結果、CCの予測可能性が制限される理由は、気候システム129の内部の不安定性、それを説明するために使用される方法の不十分さ、および初期情報の不正確さです。決定論的予測可能性の限界は、初期データのエラーの増加率またはエラーが2倍になる時間と明確に関連しています。

実際、初期温度場の設定エラーが1°C、倍加時間が3日、平均気温分散が8°Cの場合、一定の成長率では、決定論的予測可能性の限界は9日となります。 。近年、気候の予測可能性の問題はますます重要になっています。 Roshydromet Assessment Report(2008)の第5セクションの主な規定に従って考えてみましょう。地球の気候システム(CS)は、外部の影響と内部のプロセスの両方の影響下で絶えず変化しています。

この場合、CSを構成するコンポーネントは非線形に相互作用し、外部の影響に対して異なる緩和時間を持ちます。したがって、対流圏は数日から数週間の時間で準平衡状態に戻ることができ、このための成層圏は数ヶ月を必要とします。海洋の巨大な熱容量のために、外部の影響に対するその反応の時間は、数年(上部混合層)から数千年(地球規模の熱塩循環)に及ぶ可能性があります。

グリーンランドと南極の氷床の外部の影響に対する反応は、数百年と数千年で測定されます。コンポーネント間のフィードバックが存在する場合にプロセスが非線形である気候システムの主な問題の1つは、その将来の状態の予測です。

非線形システムの予測可能性は限られています(現在および過去の状態に関する入手可能な情報に基づいてシステムの将来の状態を予測できる時間制限)。第1種と第2種の予測可能性を区別します。第1種の予測可能性は、CSの進化が初期状態に依存することによって決まります。第2の種類の予測可能性は、特定の外部の影響の結果としての平均と変動性の観点から、CSの将来の状態の統計的記述の可能性を決定します。

気候システムの初期状態は正確にはわかっておらず、予測の過程で、それらに存在する誤差が増加します。大気の最も可動性の高い要素の予測は、原則として2週間を超えません。変化がかなり遅い気候プロセスであるエルニーニョ現象は、数か月のリードタイムで予測できます。 (OD、2008)によると、外部の影響によって引き起こされる地球規模の気候変動が予測可能であるという十分な証拠があります。

したがって、個々の火山噴火によって引き起こされる短期的な気候変動である年間サイクルは、現代のモデルによってかなりよく再現されています。天文やその他の外的要因の変化に関連する過去の気候変動もモデルによって再現されます。

同時に、時間の経過に伴う平均化のような空間平均化はCOPの独自の変動性を除外するため、地球規模および大陸性の気候変動は地域または地域の気候変動よりも予測可能です。現在、コンプレッサーステーションに対する人為的温室効果ガスとエアロゾルの総影響は、産業革命前の期間と比較して1.6 W / m2です。二酸化炭素含有量の現在の増加率が続く場合、21世紀の後半になります。

CO2濃度は2倍になり、全体的な放射強制力は約4 W / m2になります。 CSの予測可能性は、非線形性によって制限されます。システム内の正のフィードバックの存在は、外部の影響への応答を強化し、気候システムが比較的遅い進化で特定の状態に達すると、別の状態への突然の移行(数十年以内)が発生する可能性があります。 CSの非線形性と確率論により、将来の気候変動の評価は、原則として特定の確率分布の形でのみ可能です。

したがって、気候予測の問題は、さまざまな特性の確率分布関数を決定することになります。将来のCSであり、時間の経過とともにその進化を予測することではありません。現代の気候モデルを使用して気候を予測する場合、外部の影響に対するモデルの感度を評価することが非常に重要です。 CO2濃度の2倍に対するCOP自体の感度は、約3°Cと推定されます。

フィードバックがない場合、CO2の大気濃度が2倍になる気候温暖化は約1.2ºСになりますが、温度と水蒸気含有量の増加の間に正のフィードバックがあり、垂直温度の変化から負のフィードバックがあります。勾配は、温暖化を1.5倍に増加させます。

さらに、表面気温の変化と下にある表面のアルベドとの間のフィードバック、雲放射フィードバックの寄与が考慮されます。 CSの非線形性により、リストされたフィードバックは相互に補強し合い、それらの累積効果は、それぞれの効果の合計を個別に上回ります。

大気および海洋の大循環モデル(AOGCM)は、人為的排出のさまざまなシナリオの下で長期的な気候変動を計算することを可能にします。 CMIP 3プロジェクトのフレームワーク(20を超えるモデルが参加)内で、シナリオA2、AIB、B1に対して計算が行われました。

Roshydrometの評価レポートでは、AOGCAOアンサンブルを使用した、現代の気候の再現結果の分析と、ロシアの領土における2099年までの予測が示されています。気候モデルの評価では、3つのカテゴリが区別されます(Boer、2000)。1)気候形態。平均値の空間分布と構造、標準偏差、および主要な気候パラメータの相関によって表されます。

2)気候システムの予算(バランス)とサイクル(例:水循環);および3)気候プロセス(例:モンスーン、ブロッキング、対流)。気候は「気象平均」であるため、AOGCM計算と観測データの比較は、数十年で測定されたかなり長い期間(たとえば、WMO基準期間(1961〜1990))にわたって平均された特性に対して行うことができます。 1981年から2000年の期間も使用されます。

GGOではそれら。 A.I. V.M.のリーダーシップの下でVoeikov KattsovとV.P. Meleshkoは、AOGCMアンサンブルを使用して将来の気候変動を評価する一連の作業を完了しました。アンサンブル計算は、同じ外部の影響下で1つ以上のモデルを使用して実行される計算です。

同じモデルであるが異なる初期条件からの計算からコンパイルされたアンサンブルは、このモデルの固有の気候変動による不確実性を特徴づけます。独立したモデルを使用した計算で構成されるマルチモデルアンサンブルは、モデル間の違いによって引き起こされる不確実性を特徴づけます。結論として、21世紀の終わりまでのロシアの領土の気候計算のデータを表に示します。

シナリオAIB、A2、およびB1について、21世紀のロシア領土のAOGCMアンサンブルから計算された地表気温(ºС)の年平均変化とモデル間標準偏差


あなたがテーブルから見ることができるように。 5.1、世紀の終わりまでに、最も「深刻な」シナリオA2の下で最大の気温上昇が予想されます。

5.2。流体力学モデルを使用した天気予報

ロシア水文気象センターの70周年と80周年に捧げられたコレクションからの資料を使用して、USSR水文気象センター(現在のロシア水文気象センター)でのここ数十年の流体力学モデルを使用した天気予報の問題の解決策を考えてみましょう。センター(1999、2010)、水文気象センターRFR.M.の所長による報告VI All-Russian Meteorological Congress(サンクトペテルブルク、2009年)、水文気象学と環境モニタリングの地域問題に関する国際科学会議(Kazan、2012年)などでのVilfand。60〜70年代。

20世紀天気予報の分野の研究は、熱水力学の完全な方程式を使用して、新しいレベルの基礎研究に引き上げられました。天気予報の問題のすべての側面のさらなる発展は、熱の流入と放散の細かいメカニズムをモデルに含める必要性を示しました。

流体力学的予測のリードタイムが7日以上増加すると、大気プロセスの不安定性の発生メカニズムだけでなく、複雑な放射プロセスに関連する不安定性のエネルギーの蓄積プロセス、大気、土壌、海面の水分の相転移、およびさまざまな形態の小規模な対流。したがって、一般的な大気循環133(GCA)モデルに基づく天気予報モデルの開発により、これらの研究は基本的なレベルにまで引き上げられました。

同時に、OCAモデルに基づく中期天気予報モデルの開発は、これらの研究を、その規模、科学的レベル、および国家の経済的重要性の観点から、複雑な技術的問題のレベルにまで引き上げ、大量の研究を必要としました。非常に高い理論レベルで単一のチームで作業し、地球規模の大気プロセスを研究し、高出力のコンピューティング設備を使用し、科学的に根拠のある観測プログラムであるPIGAP(PGEP)を実施します。

1978年12月1日から1979年11月30日まで、このようなプログラムは、OCA方程式の解に基づくモデリングと予測のために、地球の大気循環を観測するように設計された対象を絞った国際研究として組織され、実施されました。

それらはうまく実装され、大気の運動学とダイナミクスに関する幅広い知識を与え、大気循環の新しい形成と進化の最大7日間のモデリングと実際の予測に目覚ましい成功をもたらしました。 1985年にソ連水文気象センターで、T40 L15バージョンの高効率の半球スペクトルモデルが実装され、1986年に欧州中期予報センター(ETSPS)のモデルの文書に従って運用が開始されました。 ECTCPモデルのドキュメントは、2つの部分に分かれています。ボリュームI(Theoretical Foundations)には、モデルのさまざまな部分の理論と方程式の説明が含まれています。

また、診断計算と予測情報処理の基礎となる理論の説明も含まれています。ボリュームII(モデルの編成)には、モデルの一般的な構造と、モデルのさまざまな部分間の相互作用の説明が含まれています。プログラミング標準に関するECDCS規則、使用されるデータセットの説明、およびディスクファイルとCRAY-IAメモリ間のI / O管理について説明するセクションが含まれています。

予測情報を処理するためのパッケージに関する情報とモデル制御システムの説明も提供されます。モデルの従属変数:渦と速度の発散、仮想温度、水蒸気の質量分率、ジオポテンシャル、表面圧力。下にある表面には、海面水温、アルベド、134の積雪境界、海氷の気候値が設定されています。

このモデルは、北半球のスペクトル法に基づいています。球面調和関数のいわゆる三角切り捨てT40が使用され、展開の最大帯状波数と子午線波数は40に等しくなります。モデルは、いわゆるσ座標で15の垂直レベルに対して実装されます。地球のレリーフの不均一性を説明します。モデルの物理ブロックには、次のパラメータ化が含まれます。-Monin-Obukhovの類似性理論に基づく境界層。 -混合長とリチャードソン数に対する乱流の半経験的依存性を使用した、自由大気における断続的な乱流。

-湿度の高い対流。これにより、落下中の雨滴の蒸発といくつかのレベルからの液滴の収集の影響をパラメトリックに考慮して、マルチレベルの曇りを再現できます。-放射と曇りの相互作用を考慮した放射伝達。 -水循環:1)上部土壌層の熱と水分のバランスの比率から、温度、土壌水分量、積雪深の変化を計算します。 2)地表面の温度に応じて、雨または雪を伴う

3)地表の雪の出現に応じてアルベドが変化する。予測製品:温度;湿度;速度ベクトル;等圧面のジオポテンシャル;垂直方向の動き;降水量(量、種類); 15レベルのクラウドスコア。表面圧力;大気の積分エネルギー特性の変化;個々のプロセスによる温度、湿度、速度ベクトルの変化。熱バランスコンポーネント;気温、土壌水分量、積雪深の変化。中距離天気予報のモデルは、非断熱プロセスの影響を説明する用語の右側に含まれている、大気の水熱力学の完全な方程式に基づいています。




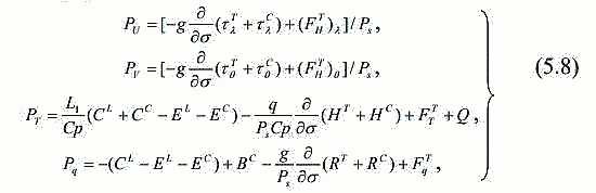
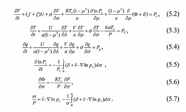
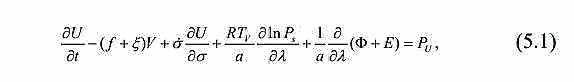
こで、θは緯度です。 λ-経度; μ=sinθ; σ= P / Ps-垂直座標; tは時間です。 vuV)、(-帯状uおよび子午線v成分を含む水平速度ベクトル; U =ucosθ; V =vcosθ; E-運動エネルギー(E = 0.5(1-μ2)-1(U2 + V2 );Φ= gz-地電位;Т-温度;Тv= T(1+ 0.6077 q)-仮想温度; q-水蒸気の質量分率;=dσ/dt-σ座標系の鉛直速度; / dtdp-p座標系の垂直速度;оtvr-風速渦;VUdiv)、(-発散; R-乾燥空気のガス定数;Ср-一定の大気圧での比熱容量; k = R / Cp; sは、地表の関数の値を決定するインデックスです。式(5.1)〜(5.4)の右辺のPU、PV、PT、Pqという用語は、記号形式で簡単に記述できます。 未定





乱流と対流のプロセスによって引き起こされる湿気。 T FT、TFq-水平方向の乱流交換によって引き起こされる熱と水分の発生源。 L1-水の蒸発比熱; CL、CC-大規模な運動および対流中の凝縮率。 EL、ECは、層雲と対流雲における液体の水の蒸発率です。 Q-放射加熱; ВС-Kuoスキームに従った対流中の湿度の変化。

u、v、T、qの初期条件を持つ方程式(5.1)-(5.7)は、球または半球で解くことができます。後者の場合、対称条件が赤道に課せられます。大気の上限(= 0)では、熱、運動量、水分の流れがない条件、垂直速度のゼロに等しい条件скорости、、、(t)が受け入れられます。

 数行未了

すべての予測変数は、球面調和関数Ym、n(λ、μ)の切り捨てられた級数として表されます。


ここで、Xは変数のいずれか、Xm、nは変数Xのスペクトル係数、N(m)は切り捨てのタイプを決定する関数です。アスタリスクは複素共役量を意味します。方程式の離散化(5.1) -(5.7)水平座標は、グリッド変換の方法に従って実行されます。

このメソッドは、相互作用係数のメソッドと比較して、方程式の非線形項を計算する際の時間の増加を提供し、スペクトルモデルに局所物理プロセスのパラメーター化を導入することを可能にします。スペクトル係数は、ガウス求積法と高速フーリエ変換を使用して計算されます。五角形の切り捨てに属する中距離気象予測モデルの非線形項のスペクトル係数の正確な値が保証されます。




解領域は垂直方向に固定数の層に分割され、その中心は整数インデックスを持つσレベルに対応します。すべての予測変数は「整数」で決定され、垂直速度、、、(t)-「半分」のσレベルで決定されます。 式(5.3)の熱の垂直移流を特徴付ける項の近似は、2次不変量の保存を保証する2次精度の差分スキームに従って実行されます。

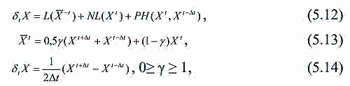
半陰解法を使用して積分します。時間の方程式。この方法は、特定の垂直温度プロファイルを使用した特定の状態に関するスペクトル係数の方程式の線形化における重力項の抽出と、時間の経過に伴うそれらの平均に基づいています。この手法を使用すると、明示的なスキームのステップと比較して統合のステップを増やすことができます。一般に、半陰的スキームは次のように書くことができます。



ここで、t(XL)は線形断熱演算子、LN(Xt )は非線形断熱演算子、PH(Xt 、Xt-Δt)は物理パラメーター化演算子、Xt は時間tでの変数の値です。 、Δtは時間のステップです。スペクトル全体にわたる運動エネルギーの伝達により、カットオフポイントの近くにある最短波の振幅がモデル内で増加する場合があります。

中期天気予報のモデルで、スペクトルブロッキングと呼ばれることもあるこの望ましくない影響を排除するために、プロセスサブグリッドスケールへのエネルギー遷移は、可変ステップt +Δtで4次の線形水平拡散を導入することによってパラメーター化されます。モデルの実装バージョンでは、0ССCНR、つまりは、風速に対する対流プロセスの影響、および熱と湿気の対流伝達を考慮していないと想定されています。

位相変換にはつながりません。表面近くの層のτТ、НТ、RT を決定するために、理論はMonin-Obukhovの類似性を使用します。この理論によれば、表層のV、T、およびqの垂直 138 cal分布は、自己相似関数z / Lであることがわかります。ここで、スケールLはT、NT 、およびRTに関連しています。 。

2つの異なる分析依存関係により、安定した層化と不安定な層化の物理的な観点から制限を満たすことができます。表層の外側の運動量、熱、および水分フラックスの式は、を表層のフラックスに対応する比率の自由大気に拡張することによって得られます。湿った対流は、次のようにKuoスキームによってパラメータ化されます。

対流領域は、不安定な成層が存在する場合、移流と乱流交換による水分の収束帯と見なされます。このゾーンの下限は、空気粒子の上昇の始まりのレベルを定義します。基になるサーフェスと任意のモデルレベルの両方に一致できます。

モデルは、粒子の温度変化を計算し、上昇の始まりのレベルから断熱的に乾燥して上昇します。次に、曇りの下限と見なされる結露の始まりのレベルが検出されます。雲の温度は、湿気-断熱プロセスに特徴的な比率に従って決定されます。凝縮の潜熱の放出に伴います。上昇中の粒子の温度が周囲の気温以下の値に下がった場合、対応するレベルは周囲の雲の最上部と見なされます。 このレベルを超えると、新しい上昇が始まる可能性があります。

このスキームにより、は多層雲を再現できます。単位時間あたりに形成される曇りの量、グリッドセル内のポイント曇りは、周囲のエネルギーに対する雲の質量の内部エネルギーの超過によって決定されます。水蒸気の収束によって生成された空気。この場合、グリッド領域のセルに入る水分のすべてが凝縮されるのではなく、その一部のみが凝縮されることが考慮されます。

凝縮する水蒸気の割合を特徴付けるパラメータは、特定のポイントでの大気カラムの相対湿度によって決定されます。積雲による大気の加湿と加熱は、単位時間あたりに形成されるすべての曇りが周囲の空気と混ざり合い、過剰な熱と湿気を与えると仮定して計算されます。大規模な曇りは次のようにモデル化されます。

水蒸気の過飽和があるグリッドのポイントで、その過剰は潜熱の放出と凝縮します。ただし、スキームでは、少なくとも 1つの条件が満たされた場合にのみ、降水量の減少が「発生」します。すべての雲のレベルの液体の水が2 mmを超えます(この場合、雨は十分な量の液体の水を運び去ります。 2mmを残します)。

最初の条件は、氷相の形成による凝縮率の増加のメカニズムを再現し、2番目の条件は、強力な雲の中でさまざまなサイズの多数の水滴が急速に合流することを反映しています。卵丘と大規模な雲では、不飽和環境に落下したときの雨滴の蒸発と、いくつかのレベルからの滴の収集の影響をパラメトリックに考慮する可能性があります。

モデルの放射プロセスは次のようにパラメータ化されます。散乱と吸収過程の独立性の仮説に基づくスキーム。周波数スペクトル全体は、5つの大きな間隔に分割されます。2つは短波領域で、3つは長波領域です。この問題は、次のようにこれらの間隔のそれぞれで個別に解決されます。最初に、放射フラックスは、レイリー散乱、吸収、および雲とエアロゾルによる散乱の影響のみを考慮して決定されます。

これらの効果は、周波数平均光学特性を使用して計算できると想定されています。これにより、問題を単色放射の伝達方程式を解くことに減らすことができます。 が2ストリーム近似を使用し、層を多層大気への遷移に「追加」する方法を使用する場合、問題は代数方程式のシステムを解くことに還元されます。第二段階では、水蒸気による放射線の吸収が考慮されます。

オーム、二酸化炭素、オゾン。 この場合、ガス吸収は最初に計算された放射フラックスを減衰させると考えられます。 この減衰は、透過関数を使用して考慮されます。は、「平均経路長法」を使用して決定されます。これにより、複数の散乱による光子経路の延長を考慮することができます。 吸収ガスの量を推定するために、ガス吸収を考慮せずに計算されたフラックスとそれらの分析導関数が使用されます。

大気のどの層でも曇りが許容されます。この場合、雲は層全体を垂直に占めると仮定され、それらの光学特性は、水 140 蒸気の飽和含水量に対する液相含有量の比率の一定性を考慮して決定されます。隣接する雲の層の重なりが最大であると見なされます。大気の各層では、曇りと雲のない部分のフラックスが別々に考慮されます。

温度、土壌水分量、高さの変化積雪は、統合された表土モデルを使用して検出されます。それらは、大気および深い土壌層との熱および水分交換によって決定されます。温度が0o Cを超えると、雪の融解と氷の形成に関連する新しい熱源または熱のシンクが考慮されます。雪が表面に降ると、そのアルベドが変化します。 予測間隔での海面水温は変化しません。

平均時間のフィールド圧力と地質ポテンシャルの数値予測のソフトウェアと技術ラインには、次のサブシステムが含まれます。-データの受信、一次処理、および制御通信チャネルから受信; -客観的分析気象フィールド; -スペクトル15レベルモデルの前処理(CM-15); -CM-15; -予測情報の一次処理(前処理); -コンピュータグラフィックス; -地域の気象要素に関する流体力学的予測フィールドの客観的解釈。

このラインは、情報処理のすべての段階の自動化、個々のリンクのモジュール性、ファイルデータの編成の原則に基づいて構築されています。情報の一次処理ロシア連邦の水文気象センターがモスクワのメッセージ交換センターから通信チャネルを介して受信したものは、リアルタイムで実行されます。サンプリング、電報のデコード、および受信データベースへの情報の記録を提供します。

この情報に基づいて、100 hPaまでの10個の標準等圧面、9レベルの成分水平風、露点でのジオポテンシャル場(温度)の2次元最適補間法を使用して1日2回客観的分析が実行されます。北半球の4つのレベル(850、700、500、400 hPa)でのポイント不足前処理ブロックは、CM15の開始データセットを作成します。次の機能を実行します。

141 -成層圏およびその下の表面の欠落している気象フィールドを気候情報で埋めます。-モデルの不規則なガウスグリッド上で均一な緯度経度グリッドを使用して水平補間を実行します。

σ-表面上の同重体からの垂直補間。このブロックのアルゴリズムはいくつかの段階で構成されています。最初の段階では、成層圏の温度が回復します。これを行うには、2つのレベル(10および20 hPa)のフィールドに温度の気候値を入力し、30、50、70 hPaの3次スプライン補間値を使用して、 10の低い点を使用して計算します。

垂直温度プロファイル。成層圏のジオポテンシャルは、静水圧方程式水平風成分によって-地衡関係によって計算されます。対流圏界面の上では、水蒸気の質量分率とσレベルでの水平風速の成分の一定値が取得されます。前処理の最終段階で、すべての気象フィールドが球形関数と値の直列に分解されます。

不規則なガウスグリッドのノードで復元されます。開始セットには、運用予測モデルの構成を決定する外部パラメーターの値を含むファイルが追加されます(時間積分ステップ、垂直レベルの数、スペクトル切り捨てパラメータ、物理サブグリッドプロセスの特定のパラメータ化の包含または非包含)、したがって、CM-15 モデルに初期情報を提供します。

予測結果は、ディスク上のいわゆる履歴ファイルに蓄積されます。これらのファイルには、すべての予測情報が含まれています:地域の天気に関連するすべてのσレベルの気象量のフィールド、雲の量、降水量、地表の気温空気、基礎となる表面特性のフィールド、診断に使用される補助フィールド物理モデルのパラメータ化出力情報の一次処理は、均一な緯度グリッドのノードでの予測値の補間、および球形関数の拡張係数の形式または形式でのデータの表示で構成されます緯度の各円のフーリエ係数の。 142 消費者にとって最も関心のあるフィールド(H500、Poなど)は、ディスク上の周期的な14日間のアーカイブに記録されます。さらに、すべての予測情報は、磁気テープの14日間の周期的なアーカイブに保存されます。

気象に関する流体力学的予測の統計的解釈のサブシステムのデータは、ディスクに個別に保存されます。特に海面での圧力場と500hPaの等圧面の高さをグラフィカルに表示するために予測データに記録されます。バンク。これらのフィールドは、毎日特別な形式で描画されます。 Bank Prognozpを介して

予測フィールドはGRIDコードに従ってパックされ、無線通信チャネルを介してソ連の地域気象センターに送信されます。 1979年1月の初期データPGEPを使用したソ連水文気象センターのスペクトル半球モデルを使用した10の予測の実験計算まだ大まかな水平解像度にもかかわらず、かなり高い精度を示しました(T 40 は約300kmの水平ステップに相当します)。

したがって、1986年の平均、つまり「成功した」予測のリードタイム、つまり、ソ連水文気象センターのモデルによると、海面での圧力場の実際に有用な予測は3。5〜4日でしたが、モデルによるとECPPS-6〜6。5日。水文気象センターUSSRモデルによる高度約3km(500 hPaのレベル)の自由大気の場合、成功した予測のリードタイムは4. 5-5日でした。

ECPPSモデルによると-6.5-7.5 数値予測の品質が過去数年間で大幅に改善されたという事実にもかかわらず、成功した予測のリードタイムは、予測計算の元の日によって変動します。計算によると、予測可能性の低下の最も顕著な要素は、体系的なエラーの増加です。

系統的エラーは、予測の統計集団を平均したときに表示されるエラーであり、原則として、十分に確立されたモデルの欠陥の結果です。観測された初期状態からのモデル予測は、自然界で観測されたものとは異なる特定のモデル気候に近づきます。モデルソリューションから体系的に欠陥のある状態への移行は気候ドリフトと呼ばれます。したがって、多くの高度な最新モデルは、冬の北半球の平均気候 143

海面気圧場を誤ってドリフトさせる傾向があります。この傾向は、高風速の中緯度で低層大気に帯状流を生成します。

低圧は深すぎると、は北に移動し、さらに東に移動します。上部対流圏では、西風速の最大値も過大評価されていますが、最大値は極と上層大気にシフトしています。対流圏では、平均気温が過小評価されています。不十分な解像度と不十分なパラメータ化サブグリッドプロセスの数は、平均時間の最新の予測気象における体系的なエラーの主な原因です。パラメータ化可能なプロセスには、-地形効果、-水平拡散、-積雲対流、-大気境界層のプロセス、-地表面のプロセス、-放射プロセス、-曇りと放射の相互作用が含まれます。

ただし、これらのプロセスでの多くのフィードバック効果の補償の可能性から生じるエラーのため、モデルの系統的欠陥の原因を明確に特定することは依然として困難です。そして、モデルの順次の改善と複雑化のために、系統的レベルエラーは徐々に減少し、悪い予測が減少するかどうかは明らかではありません。

モデルエラーは、系統的とランダムの2つのタイプに大別されます。ランダムエラーは、モデリングの過程で避けられません。それらは、大気の動きの根本的な予測不可能性、およびモデルが完全な物理システムを記述するための有限数のパラメータを持ち、初期状態が不正確に知られているという事実に関連しています。

天気を完全に正確に予測することは不可能であり、将来の大気の状態については不確実性があることは明らかです。同時に、気象予報は、国の経済活動のさまざまな分野で非常に重要です。不正確な予測への方向性が重大な経済的損失につながる可能性があることは明らかです。

144 数値の短距離および中距離予測の精度をさらに向上させ、予測リードタイムを最大1か月まで延長するには、さらに細かい空間分解能を使用し、ますます正確な予測および分析モデルを開発します。 。現在、最大1週間の短期および中期の天気予報でさえ、大気の温暖化が決定的な要因ではないことが知られています。このようなweatherの予測には、「調整された」熱源とシンクのみを使用できます。

同時に、最大1か月の中期および長期の流体力学的天気予報の精度は、最新のGCAモデルが十分な精度でソースを記述することができないという事実によって制限されることがすでに知られています。大気の熱収支を決定するエネルギーのをシンクします。

これは、上記のいわゆる気候ドリフトにつながります。これは、シミュレーション結果が実際の気候条件から徐々に逸脱し、この特定のモデルのエネルギー特性を反映する非現実的な平均循環レジームにつながるという事実で表されます。長期予報の天候を進展させるためには、「気候変動」を取り除く必要があります。

現在のレベルの知識では、この問題を解決する他の方法はありません。ただし、大気中、および海洋と大気、陸面との境界面で発生するすべての主要なエネルギープロセスのより完全な研究を除きます。

大気、および大気をモデル化するためのより高度で気候的に正確な流量計算スキームのエネルギーと水分の開発しかし、今日、気候システムの研究はまで進んでおり、科学者は流体力学的モデルを使用して地球規模を分析できますフィールドとは、時間とともに変化する気候システムの大気-海-陸の多くの特徴を再現することもできます。

上記の資料は、CM-15モデルの理論的部分に関するものであり、その主なアイデアはその重要性を失っていません。現像。しかし、気象分野を予測するためのソフトウェアと技術ラインは、コンピューター技術と情報技術の最新の機能を考慮して大幅に変更されました。 145 2000年から2001年ロシア連邦の水文気象センターでは、最大5日間のリードタイムで天気予報を発行することを目的として、水平座標に沿って1.4ºのステップを持つ高空間分解能のグローバル31- レベルモデルが作成されました。 2003年、運用中

大気のT85L31グローバルスペクトルモデルが運用され、競争力のあるレベルの品質でグローバルカバレッジの予測製品を作成するための技術を作成することが可能になりました。さまざまな観測システム(地上ネットワーク、衛星、航空機、ブイなど)から受信したデータを同化するためのグローバルシステムが開発されました。このモデルに基づいて、地上付近の気温、降水量、曇りを地球規模で予測するテクノロジーが作成されました。

2006年から2008年。ロシアの水文気象センターでは、可変解像度と約20kmの空間詳細を備えたバージョンのPLAV-PRモデルがロシアの領土に実装されました。大気のグローバルスペクトルモデルのソフトウェアが最新化されました-計算を並列化するためのアルゴリズムが開発され、実装されました。

Т85L31の運用バージョンの予測と比較して、Т169L31モデルのバージョンの基本的な気象フィールドの予測の品質の安定した超過が達成されました。 2007年12月以降、実験モードで、2010年以降。

-グローバルCMA Т169L31の新しいバージョンが稼働しており(169の球面関数による切り捨て、計算グリッドのステップは2分の1、約0.7º)、次世代のТ339L63のモデルを作成する作業が行われています。完了しました。この記事(Rozinkina et al。、2011)は、T169 L31モデルに基づいた1〜10日間のグローバル予測の運用リリースのテクノロジーを検討しています。

したがって、運用中の2つのグローバルモデルがあります。スペクトルと有限差分です。常にであるセミラグランジュ現在、ロシアの水文気象センターは、次の有望なモデルと技術を実装しています(Vilfand、2009、2012): 1)全球大気モデル; 2)中規模大気モデル; 3)発行のための技術中期天気予報; 4)長期気象予報を発行する技術;

5)航空予報を発行する技術。 146 最新の中規模非静水圧大気モデルCOSMOおよびWRF-ARWもここで習得され、その主な特性が表に示されています。 5.2



WRFモデルの使用は、主に、対流現象を含む危険な気象現象を予測するための技術の開発と、気象衛星、レーダー(naukasting)からの情報を使用して最大2時間のリードタイムで現在予測する技術のサポートに焦点を当てています。

図。 5.1および5.2は、 COSMOモデルのバリエーションとその予測製品のサンプルに関するデータを示しています(Vilfand、2012)。ロシア連邦の水文気象センターは、予測システムの開発からの移行に取り組んでいることに注意してください。さまざまな空間スケールの大気モデルから、最も正確な予測を提供するために接続されたさまざまな動的および物理ブロックのセットを備えた統合された「シームレス」多機能予測モデルの開発


図: 5.1。 メソスケールCOSMOモデル
COSMOモデル予測製品サンプル


図: 5.2。 COSMO予測モデルのサンプル


第6章につづく