エントランスへはここをクリック   

一般大気循環理論 第2章
ТЕОРИЯ ОБЩЕЙ ЦИРКУЛЯЦИИ АТМОСФЕРЫ

モホフ、A.V. エリセエフ.、K.M.シャンタリンスキー、N.A 共著
Ю.П. Переведенцев, И.И. Мохов, А.В. Елисеев

日本語訳:青山貞一 東京都市大学名誉教授
投稿日:2021年1月21日


ミランコヴィッチメニューへ戻る

一般大気循環理論 224p ロシア語
モホフ、A.V。エリセエフ、K.M.。 シャンタリンスキー
https://core.ac.uk/download/pdf/197368962.pdf

第1章  第2章  第3章  第4章  第5章  第6章  第7章  参考

2章  大気の一般的な循環

 2.1 一般的な大気循環パラメータ
 2.2 大気の一般的な循環の性質と構造
 2.3 大気作用の中心
 2.4 北極の振動、北大西洋および太平洋の振動
 2.5 エルニーニョ-南方振動
 2.6 北半球の熱帯地方における大気循環
 2.7 閉じた渦、ソリトン、モドン、アンチサイクロンのブロック、惑星の波
 2.8 地域的な気候変動の循環システムの影響
 2.9 離れた時の周りの限界.

2.1 一般的な大気循環パラメータ

一般的な大気循環(GCA)は、気候システムの大気-海洋-アクティブランドレイヤー(AOC)の不可欠な部分であり、熱と湿気の回転とともに、主要な気候形成要因の1つです(Monin、1982; Khromov 、Petrosyants、2001)。

OCAには、質的に異なるいくつかの定義があります(Lorenz、1970; Dynamic Meteorology、1976)。

1)局所的な地理的特徴を保持した大気の時間平均状態。
2)気候変動の気象形成効果を伴う時期の大気の地球規模の状態。
3)一連の準永続的なシノプティック振動。
4)一連の統計的特性(Muraviev、2006)。

国内の気象学では、OCAは大規模な気流のシステム(Khromov、Petrosyants、2001)として、また「大規模な大気状態の成分の統計的集合」(Monin、1982)として理解されています。大規模は熱帯圏、成層圏、および中球全体、大陸および海; 惑星規模をカバーする約数千キロメートル(帯状移動、ジェット流および長波)およびシノプティック(サイクロンおよびアンチサイクロン)(Pogosyan、1972)。

このようなプロセス(マクロプロセス)の主な特性は、動きの準地理的特性にある。コリオリの加速度は、相対的な加速度を大幅に上回っています。 (Monin、1982)では、GCAの大規模コンポーネントは、大気の有効厚さ(H = Ps / gρs〜10 km)よりもはるかに大きいスケールで大気の状態を表すグローバルフィールドの空間的不均一性として定義されています。

大規模なプロセスは、モニンによって1)グローバル循環(ゾーンおよびモンスーン)と2)シノプティックプロセス(ロスビー-ブリノバ波)に細分され、特徴的なサイズのオブホフスケール Lo =(g H)1/2 / f とバロクリニックロスビー変形半径L = NH / fのオーダーの寸法。ここで、fはKaryolisパラメーター、NはBrent-Väisälä周波数、 indexsは表面特性を意味する。

29 地球循環の研究は、定性的または定量的である可能性がある。定性的研究は、基本的なシノプティックの概念(空気の質量、前線、ジェット流)で観察された循環の発見された特徴の主な理由の説明を提供します(Palmen、Newton、1973)。定量的研究は、物理ベースの方程式のシステムの厳密な解に基づいて実行される。

大気循環の定量分析には、物理量を使用し、角運動量、質量、エネルギーの保存の基本法則を表現する。従属変数としてのこれらの量は、熱熱力学の既知の方程式系に含まれ、風、温度​​、圧力などのさまざまな組み合わせで使用できます。

humidity;すべてのシノプティック情報を含む毎日のシノプティックチャート、平均マップと圧力および風の場のセクション、またはこれらの変数の派生物-エントロピーと渦、運動および利用可能なエネルギーの潜在的な形態の帯状および渦成分、子午線熱と湿気の移動、および等(Muraviev、2006)Lorentzは、GCAの分析のために統計的特性を選択するためのルールを策定しました。

大気の状態は、経度、緯度、高度、時間の座標における多成分プロセスとして説明できます。 GCAプロセスに特徴的な主なプロパティは、ゾーン平均値から始めて、独立変数全体で平均化された順序で配置される。最初のグループには、が時間と経度で平均化されたときに最も完全に反映されるプロパティが含まれています。これにより、西向きの輸送や貿易風などの帯状循環に関する洞察が得られます。

2番目のグループには、時間の経過とともに平均化された場合にのみ保持されるプロパティが含まれます。これにより、モンスーン循環、アイスランドおよび冬のアリューシャンの最小値などの現象を区別できます。 3番目のグループは、経度のみの平均から形成され、ゾーニングインデックスの変動、極域の東風、熱帯地方の準2年ごとの風の周期性などの現象に関する情報を提供する。

4番目のグループは、シノプティックスケールによってのみ区別される。これは、移動する渦、高さの谷と尾根、メインフロント、熱帯間収束ゾーン(ICZ)、トロポポーズ、ジェット電流などのシノプティック現象を分析するために使用できます。

1955年以降、原子時計の使用以来、地球の回転速度の変動は1か月以上の期間で記録されています。地球の回転速度は4月と11月に最も低く、1月と7月に最も高くなります。 1月の最大値は、7月の最大値よりも大幅に低くなっています。 7月の基準からの地球の日の期間の最小偏差と4月と11月の最大偏差の差は0.001秒である。地球回転データは水文気象学で使用される。したがって、地球の回転の角速度の季節変動に関するデータは、風の角運動量の変動を決定することを可能にする。

地球の回転の季節的な不規則性は、半球間熱エンジンの働きを反映しており、温度差、空気循環の強さ、および北半球と南半球の間の水分交換の指標として使用できます。地球の回転速度と経年極の動きの10年間の変動は、南極大陸、グリーンランドの氷塊と世界の海の水の変化を計算するために使用される。

地球の回転速度の10年間の変動は、気候変動を監視し、ある程度予測するために使用できます。地球の回転速度の潮汐変動によると、N.S。シドレンコフは、大気中のシノプティックプロセスの進化を予測しています。多くの作品で、地球の回転速度(SVR)と、さまざまな時間スケールでの天候および気候変動との関係が明らかになりました。

SVZは、気候温暖化の期間中に増加し、冷却の期間中に減少する。北半球(25〜85°Nのゾーン)で5年間に平均した気温と、20世紀の1日の平均年間期間との関係。絶対値が0.90を超える負の相​​関係数が特徴である。シベリアの棚の海の総氷被覆率とその日の平均年間期間の間には顕著な関係があります:それらの異常の兆候と他の指標は100%のケースで一致します(期間1936-1995)(Gudkovich、Kovalev、Nikiforov、2004)。

(Perevedentsev et al。、2012)では、北半球の年間気温異常と1日の長さの異常との間にかなり高い関係が見られました(r = 0.66)。 1.2。大気プロセスの時空間スケール大気は継続的に動いています。地表(風)に対する空気の動きは、水平面内の不均一な圧力分布によって生成される。地球の回転の偏向力と摩擦の力は、空気の動きを確立する上で大きな役割を果たします(Matveev、2000)。

大気は、広範囲の空間的および時間的スケールのプロセスによって特徴付けられます。空間スケールは外乱のサイズまたは波長によって決定され、時間スケールはそれらの存在時間または振動の周期によって決定される。大気中で観察されるすべてのプロセスは、通常、ミクロ、メソ、およびマクロスケールに分けられます。表1.1に示す最も有名なスケール分類の1つは、1975年にI. Orlanskiによって提案されました(Kalinin、2001)。


図2.1 北半球全体にわたる5km(500mb)のレベルでの実際の測定による、大気中の異なる波数間の運動エネルギーの交換の図

結果は、すべての気象観測所での9年間の毎日の観測に基づいて計算される。 ボックス内の数字は、分析で使用された15の高調波のそれぞれの動的エネルギーゲインまたはロスを表する。ウェーブ番号間の交換は、長方形の左側の番号で示される。

波数から平均電流までのエネルギーフラックスは、長方形の右側の数字で示されています。他の波数へのエネルギー伝達は、中央の帯域(5から11までの波数)から発生していることがわかります。このエネルギーは、より低い波数とより高い波数の両方に伝達される。

損失は​​、ポテンシャルと熱エネルギーをこの中央バンドの運動エネルギーに変換することで補われます。図の右側は、各波によるゾーンフローへの運動エネルギーの伝達を示しています。 15個の波数すべてがこの流れにエネルギーを与えていることがわかります。

したがって、すべての 33 は、負の粘度現象の形成に関与しています。波数2の大きなエネルギー損失は、モンスーン効果を反映している可能性がある。このエネルギーは大規模な対流によって補充されるようである。一般的な大気循環には、多くの大規模な動きが含まれます。熱帯圏と成層圏の両方での西側の空気の質量移動、熱帯外のサイクロンと反サイクロンのシステムでの空気の循環。

空気交換;サイクロンとアンチサイクロンのシステムに関連するモンスーン循環OCAのパラメータは次のとおりです(Climate of Russia、2001):-帯状および子午線循環の指標A.L. Katz; -南大西洋と北大西洋の振動の指標; -大気の帯状風の角運動量; -大気の作用中心(CDA)のパラメータ-中心の座標と圧力; -CDAの再現性; -アンチサイクロンをブロックする日数、座標、 それらの中心の圧力と地電位; -惑星の高高度前線帯のパラメータ;気候面の位置図。 2.2-2.4は、大気循環の最も重要な構造オブジェクトの空間配置を示しています。

子午線セクションのハドリー、フェレル、極細胞。地表近くの風;極渦。モハナクマール(2011)からの抜粋。


図2.2 子午面循環におけるジェットストリーム(ジェット)の位置(From:National Weather Service、NOAA)


図: 2.3。 子午線空気循環(太い平らな灰色の矢印)、ジェットストリーム(太い体積)の構造を示す図 灰色の矢印)と夏の間の地表近くの風(細い矢印)
北半球(From:RMIT University)

極渦(PV)は、冬の極夜下部および中層成層圏で発生する強い極周囲気流である。横方向の絶縁により、渦内の空気は冬に非常に冷たくなります(南極では温度が-80°C未満に低下します)。北極圏では、PWは南極圏ほど明確に表現されていない。

(Kodera and Kuroda、2000)によると、1970年代以降。 NRは一定の増加傾向を示しています。オゾンホールの出現は、主に、オゾンに富む中緯度の空気が極域に浸透できないことによるものです(Mohanakumar、2011)。


図2.4. 極性渦の模式図(From: Hays, deMenocal. コロンビア大学)

(Gill、1986)によると、熱帯地方の循環は、さまざまな時間スケールで強い変化の影響を受け、静止していない。したがって、海面温度が高い(> 260 C)5〜250 の緯度帯では、熱帯サイクロンが形成される。ハリケーンが形成される可能性は、激しい対流が発生する夏の条件で最も高くなります。 「東の波」は区別され、約8 m / sの速度で東に伝播し、しばしば熱帯間収束帯(ICZ)に関連付けられます。

IBCは、収束の狭いセクションであり、主にアクティブな対流のゾーン方向の線に対応する。衛星画像から、赤道の周りの強力な雲の線として識別できます。それらは通常、最高海面温度の緯度で発見され、最高温度とともに季節的な移動を経験する。

いわゆる季節内振動、またはマッデン・ジュリアン振動は、大気中で重要な役割を果たします。これらは30〜50日の範囲の変動であり、熱帯緯度の上部対流圏の風速の帯状成分で最初に検出されました。研究によると、季節内変動は他の緯度でも観察され、GCAモデルによって再現され、物質の輸送、曇りに影響を与え、高周波プロセスを変調します。 300〜100 hPa層の風速成分のスペクトルのこの部分、および年間変動は、変動の重要な部分を占めています(Bardin、2011)。

2.2 大気の一般循環の性質と構造

大気の一般循環のスキームを簡単に考えてみましょう。図では2.5は、緯度と高さの座標における風速の帯状成分の帯状および時間平均画像を示しています。対流圏では、偏西風は温帯と高緯度で優勢であり、弱い東風は低緯度で優勢です。

熱帯の低風速は、貿易風(東部)とモンスーン(西部)の循環システムを平均化する正式な運用の結果であり、熱帯地域のさまざまな地域で互いに反対方向に向けられた空気の動きを生み出します(Kislov 、2001)。

図からわかるように。 2.5、温帯成層圏では、循環の季節的な再構築があります-冬の西の流れは夏の東の流れに取って代わられます。赤道成層圏では、60年代初頭に発見された大気循環の準2年周期性がはっきりと現れています。

(シドレンコフ、2002年)。赤道大気中の帯状風の準2年周期性は、ケルビン波と混合ロスビー波と赤道成層圏の帯状風との相互作用によって説明されます(Holton、1979)。知られているように、回転する大気中の大規模な運動は準静的で準地衡的です。水平風速の成分は、圧力勾配とコリオリの力を等しくすることによって得られる地衡関係から簡単に決定されます(Gill、1986)。




図2.5。 12月から2月(a)および6月から8月(b)の速度wind [u]の帯状および時間平均帯状成分(Wells、1977)。 W、E-西風と東風の最大速度のエリア

等圧面では、速度は次のとおりです。fv/x、fu/y。 (2.2)高さとともに、風は強さと方向の両方で変化する。これは、熱風方程式の分析から得られます。pxTgTzvf)/(/1、pyTgTzuf)/( /1.(2.3)これらの関係は、等圧面の温度勾配と風のせん断の関係を示する。温度が極に向かって低下すると、西風は高度とともに強くなります。帯状循環の形成メカニズム大気を考慮してください。

大気中の空気の動き(大気循環)の特徴は、そのゾーニングである。低緯度(|φ| <35°)では、東部成分の風が優勢ですが、中緯度および高緯度(|φ|> 35°)では、西風が優勢である。 (Sidorenkov、2002)によると、帯状循環の性質は次のとおりである。

太陽放射は、緯度が低いほど地表を暖めます。地表から熱は38 大気に入ります。熱帯圏の熱収支は、赤道および熱帯地域では正ですが、負である。中程度以上極域、すなわち熱帯圏は低緯度で継続的に暖められ、高緯度で冷やされる。加熱された空気は、冷たい空気よりも密度が低くなります。

したがって、赤道と極の間には密度勾配がある。重力場では、このような水平方向の密度分布により、対流運動が発生する。アルキメデス軍の作用下にある空気は、密度勾配を破壊するように混合する傾向がある。しかし、熱と冷気の源はそれを回復する。その結果、大気中の対流運動は継続的に維持される。

観察は、これらの動きが赤道と極の間で閉じられた循環セルの形ではなく、子午線の方向への大きな空気塊の無秩序で混沌とした(乱れた)動きの形で実行されることを示しています。低緯度で形成された一部の空気塊は、極まで突き抜けます。高緯度で発生したその他の空気塊は、赤道に向かってはるかに浸透する。これらの空気塊(マクロ乱流交換の要素)の特徴的な水平方向の寸法は、数千キロメートルである。

それらの垂直方向の長さ(厚さ)は数百倍小さくなります(約10〜20 km)。マクロ乱流混合は、すべての物質と物理量の流れをゼロ以外の勾配で生成する。これらのストリームは、勾配を破壊する傾向がある。量の分布を均等化する。密度、温度、水分、大気中の不純物に加えて、絶対角運動量運動量が等しくなります。混合がない場合、空気質量lの単位の絶対角運動量の軸方向成分は、法則、sin22rlに従って大気中に分布する。



ここで、Ωは地球の自転の角速度である。 r-地心距離; θは緯度φから90°までの補数である。 等化の結果、lの値は中緯度と高緯度(|φ|> 35°)で増加し(ll)、低緯度(|φ| <35°)で減少します(ll)。 地球は固体として西から東に回転するため、空気の角運動量の増加は偏西風の形で現れ、東風の形で減少する。

緯度35°N および3935°S。 角運動量lはその平均値(2l2/3R)に等しいため、風は(理論的には)発生しません。ここで、Rは地球の平均半径である。 帯状の相対的な空気の動きを考慮して、lの値は次のように決定される。



ここで、風速と> 0 for |φ| |φ|の場合> 35°および<0 <35o。大気のマクロ乱流混合の結果として、角運動量は低緯度から高緯度への勾配の方向に絶えず伝達される。このため、低緯度(<35°)では角運動量が連続的に減少し、高緯度(> 35°)では増加する必要がある。もちろん、実際には、これは観察されません。

なぜなら、風が現れると、地球の表面に対する空気摩擦の力がすぐに発生するからである。地球との角運動量の交換が始まり、角運動量の垂直方向の流れが現れます。低緯度では、東風が遅くなります。角運動量は地球から大気に流れ、高緯度では西部、つまり角運動量は地球に流れ落ちます。このように、角運動量は、図2.6に示す軌道に沿って大気中に伝達される。


図2.6。 大気中のパルスフロー図

定常状態が存在するためには、東風のゾーンでの角運動量の流入は、西風のゾーンでの角運動量のシンクと等しくなければなりません。偏西風のゾーンは、東風のゾーンよりも地球の自転軸の近くにある。

このため、ゾーン内の同じ風速では、東風の摩擦モーメントは西風の摩擦モーメントよりも大きくなります。地球からの運動量のモーメントは、下に流れるよりも40多く大気に流れ込みます。これにより偏西風の速さが増する。

それらは、角運動量のシンクと流入が絶対値で等しくなるまで成長する。この定常状態は、地球から奪われた大気中に蓄積された角運動量h3の特定の値でのみ達成される。最終的には、偏西風が東風を大幅に上回り、一般に大気は地球よりも極軸を中心に速く回転し、大気の超回転が観測される。子午面内の循環は、流れ関数線の配置によって表されます(図2.7)。

熱帯の緯度では、ハドレーセルは赤道付近で上向きの動き、高緯度(亜熱帯)で下向きの動きの形で形成される。この循環セルは熱帯の大気でエネルギーを伝達する。温帯の緯度では、伝達は渦を動かすことによって実行される。


図2.7。 気団のゾーン平均循環。 矢印は子午線セクションの空気の動きの方向を示しています
(From:NCEP / NCAR再分析データ)

大気循環の複雑な性質は、多くの要因の相互作用によって決定され、大規模な運動の流体力学的安定性の喪失につながる。

(Dikiy、1976)によると、流れの中で発生する波は成長し、帯状循環の完全な破壊と乱れたサイクロン循環によるその置き換えにつながる可能性がある。順圧および傾圧不安定性の厳密な理論は、前述の研究で提示されています。 (Kislov、2001)で述べられているように、地表の不均一性(陸、海、山のシステムの分布)は、サイクロン渦の活発な動きのゾーンの作成に貢献する。

このように、サイクロンシリーズの経路は冬にアジアと北アメリカの東海岸に沿って走る。これらの擾乱は高緯度地域では定常的であり、準恒久的な作用中心を形成する。これは、非定常波と定常擾乱の共同発現の産物である。海と陸の陸地の不均一な分布は、モンスーン効果を生み出する。海洋の循環は、大気中よりも研究されていない。地表水(最大1500 m)の循環の主な特徴は、亜熱帯における高気圧性循環である。

この循環の西岸境界流は、沿岸域に押し付けられた狭い高出力の境界流である。これらのタイプの海流には、メキシコ湾流、黒潮、ブラジル海流が含まれます。東部の枝では強化は起こらない(Kislov、2001)。ここ数十年(Dobrolyubov and Lappo、1997; Lappo et al。、1990)、海洋循環におけるグローバルサイクル(「グローバルコンベヤー」)のダイナミクスの研究にかなりの注意が払われてきました。この現象は、太平洋と大西洋の気象条件と水文条件の形成に大きな違いがあるために発生する。

表層の太平洋とインド洋からの暖かい水は南大西洋に浸透し、アフリカを覆い、北大西洋に移動する。深冷水は反対方向に移動し、数百年の巨大なサイクルを完了します(図2.8)。傾圧不安定のメカニズムは、海洋の乱気流の出現に寄与し、そのサイズは大気の渦よりも一桁小さい。海洋渦の寿命は数ヶ月に達することがある。

OCAパラメータは、帯状および子午線方向のカッツ循環の指標、南大西洋および北大西洋振動の指標、大気の帯状風の角運動量、大気の作用中心(ACA)のパラメータである。中心部の座標と圧力、ACAの頻度、高気圧を遮断する日数、座標、中心部のジオポテンシャル、惑星の高高度前線帯のパラメータ、気候前線の位置(Climate of Russia、2001 )。帯状風の衝撃のモーメントは、次の式によって決定されます(Sidorenkov、2002)



ここで、uは帯状風の速度、R3は地球の半径、は緯度、は空気密度、vは大気の体積です。
帯状風の衝撃モーメントhは、増加するにつれて増加します。西風と東風の緩和。


図: 2.8。南極環流域で接続された、各海洋の流域における主要な南北の熱塩循環ルートで構成される、世界の大洋における地球規模の循環システムの概略図。暖かい表面流と冷たい深海流は、大西洋の高緯度と南極周辺の深海形成のいくつかの領域に収束します。そこでは、海から大気への主な熱伝達が発生します。この流れのシステムは、熱伝達とその再分配のプロセスに大きく貢献します(たとえば、北大西洋の北向きの流れは、北西ヨーロッパの温度を10°Cに上昇させます)。

モデリングの結果は、この循環システムの北大西洋部分が、気温と水循環の変化に特に影響を受けやすいことを示しています。地球温暖化によって引き起こされるそのような混乱は、現在のシステムを混乱させる可能性があり、それは地域や半球全体の気候に深刻な影響を与える可能性があります。

この図は概略図であり、熱塩循環の一部を形成する海流の位置を正確に表していないことに注意してください(Fashchuk、2002年)。


2.3  大気の作用の中心

大気は、音波や微視的乱流から一般的な大気循環(GCA)の流れまで、さまざまなスケールの動きを実行します。これは、気候システムの作用メカニズムの1つです(熱帯と極緯度の温度コントラストを和らげようとしています)。それらの日射のコントラストによって作成されたゾーン)。 (Monin、2000)によると、OCAの「骨格」は3本の線で構成されています。

第一に、これは熱帯収束帯(ITC)であり、北東と南東の貿易風が衝突し、上昇する熱風の下を流れ、コリオリの力の作用下で、西への流れを形成します-亜回転(つまり、固体惑星よりも遅く、地球の軸を中心に回転します)。 2番目と3番目に、これらは北と南の亜熱帯ジェット流(SJT)の軸であり、コリオリの力の作用下で極に流れる反貿易風の東を向いて作成されます。

さらに大きな範囲で、角運動量がSSTゾーンに伝達されることにより、「傾圧」(つまり、垂直方向に不均一な)渦とロスビー-ブリノバ波(の頂上軸)の統計集団の「負の粘性」の影響下で帯状流が発生します。 SSTに向かって傾斜しているため、SSTは超回転を形成します。

ITCは通常、赤道のやや北にあります。大西洋では、この線は、平均して、3月の赤道から8月の12ºまで年間を通じて移動します。 FTSは、平均緯度±35度、高度約12kmに位置しています。年間および経度(SSTの軸上)で平均された西風速の最大値は、北半球で23 m / s、南半球で29 m / sです。

インスタントFTSは、はるかに狭くて強力です。通常、幅は約300〜400 km、厚さは1〜2 km、速度は60〜80 m / sです。 1981年、中央アジアのKzyl-Orda上空で190 m / sの速度が記録されました。 44 ITCのサブローテーションとCCTのスーパーローテーションの間の帯状速度の高気圧性シフト、および極性STの低気圧性シフトは、ヘルムホルツ不安定性のメカニズムによって、亜熱帯高気圧性および亜寒帯性低気圧性渦の形成につながる可能性があります。

その場所で準定常であるこの種の渦は、大気の作用中心(CAA)と呼ばれます。 CDAの存在は、大気の加熱と冷却の非ゾーン要因によって作成されたゾーニングの違反です。海と大陸の熱の違いがそのような要因です。

急速に回転する惑星(回転マッハ数Pω=ωa/ cが大きい、たとえば木星Pω= 17)では、帯状因子が支配的であり、準定常CDAの存在は不可能です。ゆっくりと回転する惑星(たとえば、金星Pω= 6・10-3)では、非帯状の要因が支配的です-太陽と反太陽領域の大気の加熱の違い。

地球上では、Pω= 1.4であるため、帯状因子と非帯状因子の役割は同等であり、帯状循環とCDAの両方が形成され、準定常的ですが、季節的および年々大きな変動があります。熱の違いにより、大陸の冬の冷房と夏の暖房は海に比べて大幅に強くなり、その結果、冬には大陸から海への低気圧の空気の流出が発生します(中心から周辺に高気圧が渦巻く) )そして夏の逆流入。帯状効果とモンスーン効果の重ね合わせの結果として形成されたCDAは、4つのグループに分けられます。

1。5つの恒久的な(通年の)海洋高気圧-ハワイのアゾレス諸島。セントヘレナ、約。聖モーリシャスと神父イースター。 2. 2つの恒久的な海洋サイクロン-アイスランドとアリューシャン(2つ目は完全に恒久的ではありません-7月に通常は消滅します)。 SPでは、それらは南極環流の低圧帯に対応します。 3. 4つの季節性(冬)大陸高気圧-シベリア、カナダ、南アフリカ、オーストラリア。 4. 5つの季節性(夏)大陸低気圧-南アジア、カリフォルニア、南アフリカ、オーストラリア、南アメリカ。


2.4 北極振動、北大西洋および太平洋の振動

北極振動(AR)は、極域の大気圧が中緯度(約45°N)の気圧と逆位相で数週間から数十年の時間スケールで変化する大気循環パターンです。この振動は、対流圏をその深さ全体まで捉えます。冬の終わりから春の初め(1月から3月)にかけて、成層圏に上向きに拡大し、北極の極冠地域を取り巻く偏西風の極循環渦を変調します(Mohanakumar、2011)。

北極振動は、極域の圧力が比較的高く、中緯度で低い場合は負の位相を持ち、中緯度では正の位相を持ち、その間に圧力比が逆転します。正のフェーズでは、中緯度の圧力が高くなると、暴風雨がさらに北に移動し、循環パターンの変化により、アラスカ、スコットランド、スカンジナビアは雨天になり、米国西部と地中海は乾燥した天気になります。正のフェーズでは、寒い冬の空気は、振動の負のフェーズの場合ほど北アメリカ中部に移動しません。

これにより、ロッキー山脈の東にある米国の大部分の天気は通常よりも暖かくなり、グリーンランドとニューファンドランドの天気は寒くなります。負のフェーズの気象条件の特性は、一般に、正のフェーズの特性とは逆です。これを図に示します。

20世紀の初めに。北極振動の正相と負相が交互に置き換わりました。しかし、1970年代以降。 AOは、より正の相に留まる傾向があります。北極圏では、気圧は通常より低く、米国のほとんどとユーラシア北部の気温は通常より高くなっています(Kodera and Kuroda、2000)。


図: 2.9。 北極振動の(a)正相と(b)負相の影響

OD(2008)によると、北半球の気象と気候条件の形成における北大西洋と北太平洋の変動の兆候の特徴を考慮してください。北大西洋振動(NAO)は、大気と海の間の大規模な相互作用の現象であり、北半球の赤道外緯度でのシノプティックプロセスの性質と気象の形成に影響を与えます。この現象は、北大西洋の大気作用の中心(アイスランド低気圧とアゾレス諸島の最大値)の相互作用の定量的特性によって説明できます。

NAOインデックスの月次値を計算するために、ワシントンの世界気象センターの気候分析センターで採用されている方法が使用されます(Monitoring、2004)。計算の初期データは、通常のグリッドのノードでの海面での大気圧の一連の月平均値です。月平均気圧の正規化された異常間の差は、次の式で計算されました。



ここで、APgmとuPgmは、アゾレス諸島の最大気圧とアイスランドの最小気圧の実際の平均月間気圧です。 APgmおよびuPgm-アゾレス諸島の最大の4つのノード(20、30®W、35®Nおよび20、30®W、40®N)47およびの3つのノードについて計算された圧力(ノルム)の長期値を意味します海面でのアイスランドの最小値(10、20、30o W、65o N)。 mは、1951年から1980年までの30年間の月平均(および標準)から計算された標準偏差、gは年、mは月、AとUはアゾレス諸島とアイスランド諸島です。

NAOトレンドからの偏差は、帯状風の角運動量の値とよく相関します(r = -0.62)。シノプティックの実践では、個々の大気プロセスの分析とともに、循環の一般化された特性がうまく使用されます。これは、よく知られているWangenheim-Gears分類に属します。これは、W、E、C(西部、東部、子午線)の3つの循環形式に基づいています。

この分類では、通常、暦期間(月、季節、または年)の循環の1つまたは別のタイプの日数が、定量的特性として使用されます(Gears、1971)。 W型は、弱く乱れた西東輸送を特徴とします。E型とC型の場合、対流圏で大きな振幅の超長定在波が観測されます。 E字型の高地の尾根はロシアのヨーロッパ領土の上にあり、高地のくぼみは西ヨーロッパと西シベリアの上にあります。

フォームCの場合、フィールドは反対です。尾根は西ヨーロッパと西シベリアの上にあり、谷はERの上にあります。 Wプロセス中、負の温度と圧力の異常が極域で観察され、正の異常が温帯および亜熱帯の緯度で観察されます。

E型とC型では、平均して、正の温度と圧力の異常が尾根で見られ、負の異常が谷で見られます(Sidorenkov and Svirenko、1983)。大規模ACのこれら2つの構造は、SPの温帯緯度における気候変動の最も重要な要因です。地球規模の気候変動の重要な構造であるエルニーニョ南方振動(ENSO)は、主に熱帯に現れます。

多くの研究で、ENSOと温帯緯度のプロセスとの関係が考慮されています。北大西洋振動(NAO)は、アイスランドの最小値とアゾレス諸島のアンチサイクロンの領域で、大西洋の北と南の緯度での大気圧の変化です。これらの圧力間の差の変動は、それぞれ、気団の西部移動の強度の変動を決定します。

振動の双極子構造は、圧力の第1自然直交関数(EOF)48の分布でよく追跡されます。冬には、考慮されるEOFが圧力分散の約40%を説明し、夏には約27%を説明します。この振動はすべての季節に現れ、NAO双極子構造の北極は年間を通してIの近くにあります。


図: 2.10。 冬(a)と夏(b)の季節の大西洋セクターにおける最初の自然直交圧力関数(EOF)(1899年から2006年のNCARデータ)。 ドットは、NAOインデックスの計算に使用されるレイキャビク(アイスランド)ステーションとポンタデルガダ(アゾレス)ステーションの位置を示しています。 出典:http://www.cgd.ucar.edu/cas/jhurrell/indices.html

冬のNAO指数の時間経過は、10年ごとの有意な変動(6年から13年のスペクトルピーク)と、1960年から1990年の期間に正のフェーズに向かう強い傾向を示しています。

これらの特徴は、特に冬に顕著である北ユーラシアの気候に対するNAOの影響を説明しています。 NAOと地表気温の相関関係は、すべての時間スケールで観察されます。特に55〜65ºNのゾーンで大きくなります。

東60度までコーカサスとロシア北東部を除くほぼすべての地域でポジティブなままです。この関係と北大西洋で観測された長期的な気候変動(Plaut et al。、1995)は、ERの冬季の約10年間の気温の自然変動を説明しています(全体の分散への寄与は約25%)。

この関係の重要な結果であり、20世紀の最後の数十年に観察されました。 NAO正相の傾向は、ロシアの冬季温暖化の特徴的な構造であり、相関場の構造(ERでの最大温暖化と北東部での冷却を含む)と非常によく似ています。 IPCCによると、NAOの傾向は、1968年から1997年までの北ユーラシアの温暖化の約半分を説明しています。


図: 2.13。 1886年から2000年の冬(12月から2月)のロシア連邦の領土における気温異常とNAOインデックス(北大西洋の11番目の主要な圧力成分の時系列)の相関。 温度異常は、1961年から1990年の基準期間を基準にして計算されます。 ロシアの駅のデータによると。 IGCE(気温)とイーストアングリア大学(海面気圧)の気候モニタリングデータベースが使用されました

太平洋振動(TC)は、太平洋-北米セクターの温帯緯度における数十年規模の気候変動の主なモードであり、北ユーラシアの東部にも現れています。指定された時間スケールでの大気と海洋の変数は、協調して変化します。

大気成分は、アリューシャン列島とロッキー山脈に極がある圧力場の双極子です。北東部の太平洋の表面温度の異常によって、振動の寒冷期と温暖期は異なります。温暖期は、北太平洋の大部分の表面でゼロ以下の水温異常があり、北アメリカの海岸に沿って正であるという特徴があります。

TCを説明するために、大気と海洋の指標が使用されます。最初の(NPI-北太平洋指数)は(Trenberth and Hurrell、1994)で提案されており、北太平洋(30-65ºN、160ºE-140ºW)の平均圧力異常を表しています。 2番目(Mantua et al。、1997)は、海面の水温を最初のEOFの水温に投影することです。図では2.12は、大気TC指数の時系列を示しています。

1890年から1924年の寒冷期の観測では、2つの完全なTCサイクルが区別されます。そして1947年から1976年に。そして1925年から1946年の温暖期の52の支配で。 1977年から1980年代半ばまで(Mantua et al。、1997)。 15〜25年の周期の変動の特徴的な時間スケールが強調表示されます。大気のTC指数も、全体的な海洋温暖化と一致する負の100年の傾向を示しています。


図: 2.14。 太平洋振動の温暖期における海面水温異常(a)と海面気圧(b)の空間構造(Mantua et al。、1997)。 1900年から1993年までの期間の平均が表示されます。 TCインデックス(20°Nの北の太平洋における主要なSST EOF)の正の値を持つ季節のSSTおよび圧力異常のフィールド。 異常は、1947年から1993年の期間の平均と比較して、寒い季節(11月から3月)について計算されます。 出典:http:// www.atmos.washington.edu/~mantua/REPORTS/PDO/PDO_cs.htm

暖かいTCフェーズに関連する冬の太平洋-北米セクターの気候的特徴は、対流圏の太平洋北部におけるサイクロン循環の強化とシノプティックプロセスの強化(アリューシャン低気圧の深化を含む)によって特徴付けられます。 )および北米全体の気温と降水量の分布の顕著なパターン:中緯度では暖かく乾燥した状態、亜熱帯では冷たく湿った状態。

アリューシャン列島の窪みの深化とロッキー山脈の尾根の強化に関連する循環体制(すなわち、TCの正相)は、53の負のユーラシア北部の温度分布の顕著な構造に対応することが示されています。

東部では異常があり、西部では正である(Bardin、1996)。東部地域の氷点下の異常は、サイクロン活動の激化中の太平洋表面の冷却と、北極海盆からの冷たい気団の移流によって説明されます。西部の正の気温異常(EPRで最大)は、正のNAO相に関連しています。


図: 2.15。 11月から3月の北太平洋指数(北緯30〜65度、東経160度〜西経140度の地域におけるhPaの平均気圧異常)の時系列(Trenberth and Hurrell、1994)。 異常は、1925年から1989年までの期間の平均と比較して計算されます。 太字の曲線は、4年未満の周期で振動をカットするフィルターを使用した結果です。 NCARデータ:http://www.cgd.ucar.edu/cas/jhurrell/indices.html。

30ºNの北にあるすべてのさまざまなACフォームグリーンランドからエニセイまでの地域では、西西、東東、子午線Cの3つの形態に分けられます(Wangenheim、1935)。 W循環形態のマクロプロセスは、帯状成分の強度の増加、シベリアの最大値の弱体化、およびアイスランドとアリューシャンの最小値の深化を特徴としています。

ゼロ以下の気温異常は北極で形成され、温帯では正であり、W型の低緯度の変化で、正の気温の異常は54の北極地域もカバーします。

温帯では加湿の背景が増し、その北と南には降水量が不足しています。循環Eの東部形態のマクロプロセスの間に、地球の気圧層の軌道は重要な子午線成分を獲得します。ユーラシア大陸の下では、気温がゼロ以下の異常が形成され、北極圏西部では正の値になります。ヨーロッパ南部と西シベリアでは、降水量が不足しています。

子午面循環フォームCでは、バリック層の軌道に子午線成分があります。アイスランドとアリューシャンの最小値は、冬でも事実上存在しません。ゼロ以下の最大の気温異常はER上に形成され、黒海からウラルへの過剰な降水量の広大な領域が区別されます。 116年間にわたる循環形態の頻度の変化の分析は、W形態の年間頻度が近年153日から90日/年に減少したことを示した(Sidorenkov and Svirenko、1983)。

それどころか、フォームEの年間頻度は111日から191日/年に増加しました。地球温暖化に関連して、1970年代以降、あらゆるタイプのACのトレンドサインが変化しました。 1970年から2006年の期間。 W型の発生頻度の顕著な増加と、E型の頻度の同様に有意な減少があり、同時に、C型の頻度は増加しましたが、長い背景に対してそれほど有意ではありませんでした。このタイプの用語の変動性。パラメータの99%の有意水準に対応する結果は、すべての形態の循環の年間頻度が統計的に有意な傾向を持っていることを示しています。

これらは、過去116年間の合弁事業の大西洋-ヨーロッパ部門におけるACの漸進的な変化を示しています。最大の傾向は夏に発生します。フォームEの発生頻度は37の割合で増加し、WとCはそれぞれ1世紀あたり25日と12日/シーズンの割合で減少します。生育期は、E型とW型の傾向は大きいものの夏よりやや少ないが、この時期のC型の傾向が最も大きい。

冬には、すべての形態の傾向は統計的に重要ではありません。線形傾向は、ACフォームの発生頻度の変化の一般的な傾向のみを表していることに注意してください。実際の変動は、もう少し複雑です。研究(Girs、1974)では、Wangenheim循環の一般的な形式に応じて、6つの循環エポックが特定されました(表55 2.1)。 Wフォームの最後の時代は1996年に始まり、今日まで続いています。

表2.1 ワンゲンハイム循環の一般的な形態によって識別される循環エポック



図: 2.16。 1891年から2006年の期間における、大気循環形態(W(a)、E(b)、およびC(c))の年間頻度の時間変化。

4つのグループにまとめられた41の「基本循環メカニズム」(ECM)を含むDzerdzeevskyの別の類型は、SPの帯状循環と子午線循環の比率に基づいています。 ECM変更カレンダーは1899年から現在まで実行されています。時系列はまた、過去数十年を含む、循環グループの発生頻度の顕著な長期的変化の存在を示しています。特に、子午線北部循環群の長期的変化は、ワンゲンハイム循環型のC型の長期的変動と一致していることが示されている(Kononova、2009)。


2.5 エルニーニョ-南方振動

太平洋の中央部と東部の水面が長時間温暖化する現象とそれに伴う複雑なプロセスは、エルニーニョと呼ばれます。サザンオシレーション(SO)という用語は、1920年代にウォーカーによって造られました。

これは、南半球の太平洋とインド洋の間の亜熱帯帯の気団の変動であり、特徴的な時期は数年であると理解されています。熱帯太平洋地域の中央部と東部で大気圧が上昇(低下)すると、インド洋の熱帯地方だけでなく、オーストラリアとインドネシアの地域でも気圧の低下(上昇)が見られます。

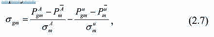
SCを特徴づけるために最も頻繁に使用されるインデックスは、SCアクションの反対側の中心近くにあるタヒチステーションとダーウィンステーションの大気圧値を考慮に入れたインデックスです。

特に、指数の計算には、米国世界気象センターの気候分析センターで開発された方法論が使用され、それに従って、タヒチステーションとダーウィンステーションでの正規化された圧力異常の時系列の差gmが計算されます。示された観測所の海面での大気圧の月平均値の時系列が初期データとして採用されます。量gmの式は次の形式になります。



ここで、Pgmは実際の圧力です。 Pm-平均長期値; は1951年から1980年までの期間の圧力異常のすべての値に対して計算された標準偏差であり、gとmは年と月です。 Pmレートは、1951年から1980年までの月間平均データに基づいて計算されます。 その後、SOI南部振動指数の値が計算されます:



ここで、は1951年から1980年までのすべての差の標準偏差gmです。現在、1866年から現在までの月平均SOIの連続シリーズがあります。太平洋の東部と中央部では、SOI指数が高い(低い)ほど、海面水温(SST)が低い(高い)ことが確立されているため、ENSO現象では2つの極端なフェーズが区別されます。

(エルニーニョ)SOI <0で、寒冷(ラニーニャ)SOI> 0。エルニーニョでは、東太平洋の海面は西太平洋の海面よりも約50cm高くなっています。ラニーニャ現象では、状況は逆になります。

熱帯では、太平洋の東部と西部の間で振幅約50cmの海面変動が観測されています。1866年から1966年までの長期的な一連のSOI指数のスペクトル分析。 SOIのスペクトル密度が2〜7年の範囲で最大値に達することを示しました。研究によると、ENSOスペクトルには、年間周期ではなく、およそ1。2年のチャンドラー周期と18。6年の地球の強制章動の主周期の倍数である成分の存在が示されています(Sidorenkov、2002)。

エルニーニョ南方振動(ENSO)現象は、地球規模で相互作用する海洋大気システムの年々変動の最も重要な要素の1つと見なされています。したがって、多くの著者は、両方の遠隔地域のプロセスに対するENSO効果の影響を検討しました。

熱帯と温帯の緯度。 「熱帯海洋-全球大気」(TOGA)プログラムは、熱帯太平洋の熱状態が全球気流に及ぼす影響の研究に専念しました。このプログラム(1985–1995)の結果、熱帯の地球循環に対するENSO現象の影響のメカニズムが明らかになりました(Gushchina、2003)。

大気循環の準2年周期

大気循環の多くの非季節変動の中で、準2年周期性が最も安定していて重要です。準2年ごとの大気の周期性は、赤道成層圏の循環を研究した1960年代初頭に発見されました。その後、18kmから35kmの層の赤道付近で、帯状風の方向が約26か月の周期で変化することがわかりました。 (Reed、1964)によれば、偏西風は一定の高度で約10か月間吹き、次に東風は約16か月間吹き、その後このサイクルが再び繰り返されます。

赤道大気中の帯状風の準2年周期性は、ケルビン波と混合ロスビー重力波と赤道成層圏の帯状風との相互作用によって説明されます(Holton、1979)。ケルビン波は、下から成層圏に浸透し、偏西風のせん断帯に出会うと、位相速度が風速と一致するレベルで吸収されると考えられています。

その結果、この高さでの西風が増加し、新しい波の吸収レベルが低下します。波の吸収過程は継続しているので、偏西風のゾーンは月に約1kmの速度で対流圏界面まで徐々に下降します。ドップラーシフトにより、西風帯が対流圏界面まで拡大すると、ケルビン波の周波数が低くなり、ロスビー重力混合波の周波数が高くなります。

したがって、混合ロスビー重力波は上向きに伝播します。半年ごとの変動のレベル(〜35 km)で、波は東風のせん断帯にぶつかり、そこで吸収されます。この場合、東風の速度が増加し、東風のゾーンが35kmから対流圏界面まで連続的に下降し始めます。古いサイクルはそこで終わり、半年ごとの変動のレベルで、ケルビン波の吸収が始まり、新しいサイクルが現れます(Sidorenkov、2002)。

赤道風の準2年周期性の特性の定量的評価については、N.S。シドレンコフは、19kmから31kmまでの層の帯状風の平均速度uの値を使用することを提案しました。現在までに、ロシア水文気象センターは、赤道成層圏の帯状風の平均速度uの48年(1954年から2001年)の時系列を月ごとの離散性で蓄積してきました。

このシリーズの統計的処理の結果の分析は、以下の規則性を明らかにしました。 1954- 2000年平均速度uの20サイクルが発生しました。期間は1972年から1973年の21ヶ月の範囲でした。 1964年から1966年までの最大36か月インターバル全体の平均サイクル期間は28.1か月でした。帯状風速は1984年7月の–22.5 m / sから1983年1月の+18 m / sまで変化した。46年間の速度uの平均値は–3.8 m / sであり、標準偏差は9、3mであった。 / s(Sidorenkov、2002)。スペクトル分析により、約2。3年(28か月)の周期の高調波が明らかになりました。

この振動は準2年周期と呼ばれます。 N.S.シドレンコフは、スペクトルuと極の座標の分析に基づいて、地球の極の動きと大気中の風の準2年周期性が、ルニソラー潮汐に関連する共通の励起メカニズムを持っている可能性があることを示唆しました。準2年周期の兆候は、北半球の温帯低気圧における多くの気象パラメータ(温度、風)、オゾンの含有量、およびその他の不純物の振る舞いに見られることに注意する必要があります。

この現象は、熱帯成層圏の風向と風速の変動と、北大西洋振動に関連する北半球の大気循環の変化という、少なくとも2つの線形独立した原因によって生成される可能性があります(Gruzdev and Bezverkhny、2003)。 2.6。北半球の熱帯における大気循環このセクションでは、基本的な研究(Petrosyants、Semenov、Gushchina et al。、2005)に従って、熱帯における大気循環の主な特徴について概説します。

1月には、北半球と南半球の亜熱帯高気圧の2つの帯が、熱帯帯の上の850hPaの表面の下部対流圏で区別されます。 7月に夏(北)半球の亜熱帯高気圧帯が東半球全体で乱された場合、1月の夏(南)半球では同様の乱れは検出されないことに注意してください。

SPの亜熱帯に広い土地がないため、太平洋、インド洋、大西洋に3つの強力な高気圧がドッキングすることが事実上保証されます。夏(南)半球の亜熱帯における地球規模の高圧帯の形成の直接的な結果は、SPの東部輸送の惑星の性質であり、これは、加熱された大陸の夏のモンスーンの間に幾分南にシフトするだけです。

1月のSP(7月のSPとは対照的に)では、赤道の偏西風とそれに伴う熱帯帯全体の夏季モンスーンの循環が、安定した東風によって温帯偏西風の惑星系から分離されています。北(冬)半球では、逆に亜熱帯高気圧は

1月に北アフリカ(アラビアと北ヒンドゥスタンに広く拍車をかけた)と東南アジアの大陸高気圧が大西洋と太平洋の亜熱帯高気圧に追加された大陸でより顕著です。冬半球でのこれらの最大値の出現は、熱降下に取って代わり、西アフリカと南アジアでの冬季モンスーンの循環に関連しています。冬季モンスーンの循環における北東風の最大強度は、ベンガル湾とアラビア海の海域で観測され、1月の平均は6 m / sです。

7月のこれらの地域における南西夏季モンスーンの強度の約半分。 7月から1月にかけての亜熱帯高気圧の中心の海上での季節的な動きは、アゾレス諸島(南に12度)とハワイ諸島(8度)の緯度がAT850です。 SPにおける亜熱帯高気圧の季節的な緯度の移動は重要ではなく、3〜4ºを超えません。したがって、冬の半球では、亜熱帯高気圧の中心は、亜熱帯高気圧ゾーン全体とともに、冬には赤道に向かって移動し、夏には赤道から離れます。

子午線方向の作用中心の動きは、南インド高気圧の緯度3〜4度から、北大西洋高気圧の緯度7〜10度までさまざまです。経度の高気圧の位置はより困難に変化します。 1月の赤道の谷は、南太平洋の温暖化した大陸の上にあります。赤道トラフのAT850表面の流線の分野では、南アメリカ、赤道アフリカ、インド洋の中心、オーストラリア北西部、太平洋南西部の5つのサイクロンセンターが区別されます。

サイクロン循環のある気候センターは、インド洋と南西太平洋の赤道域で区別されます。これは、これらの地域での非常に活発な熱帯低気圧形成の全体的な影響を反映しています。一部の熱帯地域(特に東半球)での赤道と南緯10〜15度の間の下部対流圏の赤道偏西風の存在は、赤道トラフの領域でのサイクロン循環に関連しています。

南(夏)半球に赤道トラフが存在し、北(冬)半球に亜熱帯気圧が上昇すると、1月に冬SPから夏SPまでの安定した赤道横断気流が形成されます。ただし、下部対流圏での集中的な交換は、熱帯収束帯(ICZ)がモンスーンの特徴を持ち、赤道トラフとともに1月に南(夏)半球に移動する熱帯地域でのみ観察されます。 1月の700hPaの表面では、熱帯の大気循環の特徴は850hPaの表面と同じままです。

1月のAT700でのWZKは、依然として大気循環の主要なリンクであり、両方の半球のマクロスケールの風力システムを区切っています。 1月のAT850の中部対流圏では、SPの亜熱帯緯度での偏西風の急激な増加が顕著であり、これは亜熱帯高気圧の極周辺での熱帯気団の温帯緯度の西風との収束に関連しています。 SPの。 7月とは対照的に、1月には、赤道トラフのサイクロン循環が中部対流圏で完全に消失します。

1月のAT200の上部対流圏では、SPの亜熱帯でジェット電流(ST)が形成されます。同時に、7月とは対照的に、1月には、南(夏)半球から北(冬)半球への気団のより集中的なオーバーフローが観察され、SPの亜熱帯におけるSTの強化に貢献します。

東風の分布域は、インド洋海盆と南アメリカの赤道地域に限定されています。下部成層圏では、1月の50 hPaの表面で、25〜20°NのSPの2つの強力な亜熱帯高気圧が、一方ではSPの偏西風を強め、他方ではそれらはSPの偏西風を強めます。夏の成層圏偏西風の形成に寄与する(南)

下部対流圏の850hPaの表面では、7月に、亜熱帯高気圧が北半球と南半球で区別され、熱帯大気の主な作用中心である別々の亜熱帯高気圧に分割されます。北(夏)半球には、そのような2つの中心があります。アゾレス諸島とハワイの亜熱帯高気圧です。南(冬)半球では、5つの亜熱帯高気圧が追跡されます。

3つは海(南太平洋、南大西洋、南インド洋)、オーストラリアと南アメリカです。これらの最大値の安定した存在は、OCAの主要なリンクの1つである熱帯の下部対流圏における東部(貿易風)輸送の並外れた恒常性を保証します。

7月のSPでは、亜熱帯高気圧がアフリカから東南アジアまでの広大な範囲で下部対流圏で引き裂かれ、ここでは、亜熱帯高気圧の代わりに、AT850に赤道を形成する多数の熱およびモンスーン低気圧があります。

トラフ。熱帯性大気の重要な作用中心であるこれらの低気圧は、安定した赤道付近の東半球のほぼ全体(ギニア湾の海岸から太平洋の西部まで)の下部対流圏での形成に寄与しています。別の本格的なACリンクが遺伝的に関連している西向きの移動-熱帯低気圧の循環。インド洋盆地上の夏のモンスーン循環の背後にある主な原動力は、インド北部のモンスーン陥没と南インド洋の亜熱帯高気圧の間の全圧降下です。

検討中の地域での赤道西部輸送の強化とモンスーン循環の形成は、赤道トラフの第2枝の冬(南)半球の赤道近くに存在することによっても促進されます。このトラフでは、赤道近くのインド洋の中央水域。

これは、北半球の夏の間、強力で比類のない子午線気流の間にインド洋の西に形成されることに貢献します。 AT850マップの流線と等​​速線は、南東貿易風の南東風と、フィンドラター海流の赤道上をほぼ厳密に南下する輸送と、アラビア海の小春日和の循環における強力な南西海流との有機的な関係を明確に示しています。

海とヒンドゥスタン。 63インド洋流域に加えて、南東貿易風の北半球へのオーバーフローとそのモンスーン流への変換は、東大西洋とギニア湾でよく追跡されていますが、このプロセスは十字架よりもはるかに弱いです。 -インド洋上の赤道海流。西アフリカのモンスーンにおける南西風の平均速度は、2〜4 m / sを超えません。南大西洋の高気圧システムを循環する気団のために、垂直方向の厚さが2.5〜3.0km以下のこの電流が形成されます。

西半球では、赤道に関連する陸と海の独特の分布のために、7月に、コロンビアの海岸と南アメリカの赤道地域を除いて、赤道トラフの2番目(冬)の枝は不在で、モンスーン循環は発達しません。 850 hPaの表面の流線の7月の地図上で熱帯大気の注目された作用中心とそれらによって形成された気流に加えて、熱帯循環の最も重要なリンクがはっきりと現れています-熱帯収束帯(ICZ )、これは熱帯の重要な気象要因と気候である北半球と南半球の風システムを区切り、降水量の分布はその季節的な移動に関連しています。

VZKは、北緯8〜10度付近の合弁会社にあります。大西洋と太平洋上にあり、両方の半球の貿易風の中で海洋熱帯空気の塊が収束する領域を表しています。 7月の700hPaの表面には、一般に、850hPaの表面と考えられる大気循環の画像が残っています。東部(貿易風)輸送の速度はやや増加します。 IBCはよく表現されており、ほとんどすべての地域で3〜7度の緯度で赤道に近づいています。

7月の中部対流圏(AT500)では、熱帯の大気循環のパターンが下部対流圏と大きく異なります。まず第一に、強度が急激に減少し、熱帯モンスーン循環の分布域が減少しました。インド洋の中心(SPの赤道近く)とヒンドゥスタン上にのみ、サイクロン循環が維持された2つの作用中心があり、アラビア海南部、ヒンドゥスタン、ベンガル湾上の強く弱まった南西モンスーンの流れを支えています。

ヒンドゥスタン北部の低気圧性渦に加えて、7月に北(夏)半球のAT500で、高高度の北アフリカ高気圧、アラビア北部とペルシャ湾の高気圧、およびチベットの高気圧に関連する高気圧が出現します。山の熱の影響。 AT500では、亜熱帯高気圧ベルトの軸が赤道に向かってシフトし続けます(AT700の場合と同様)。

その結果、UPではすでに南にt10ºS亜熱帯の偏西風が観測されており、これは温帯緯度の惑星の偏西風の移動の端を表しています。 SPでは、偏西風は北緯30度の北でのみ観測されます。貿易風の速度が8-10m / sに達した下部対流圏と比較して、中部対流圏の熱帯における東風の強度はやや弱くなり、中部対流圏自体の東風の領域はほぼ完全に夏(北)半球に移った。

東大西洋の10〜20°Nの地域でのみ。 AT500の東風速は10〜12 m / sに増加しました。中部対流圏で始まった熱帯のACの再構築は、上部対流圏で完全に完了しています。したがって、7月のAT200には、サイクロン循環のあるセンターはもうなく、高圧ベルトのみが記録されています。亜熱帯最大軸の北側では、偏西風が各半球で観測され、そのシステムでは、南緯25度に沿った冬(南)半球が観測されます。

AT200には、速度30〜50 m / sの亜熱帯ジェット電流(SST)が形成されました。北(夏)半球では、著しく弱くなったSSTの個々の焦点は、中央アジアの40〜45°Nに沿ってのみ観察されます。上部対流圏の亜熱帯極大軸の間に囲まれた熱帯地域自体には、安定した東向きの輸送があります。東風帯の興味深い特徴の中には、柳井丸山の東波と呼ばれる移動性の大気擾乱が存在することがあります。

さらに、7月のAT200の熱帯地域全体で、夏(北)半球から冬(南)半球にかけて気団が激しく溢れています。下部対流圏では流れの方向が逆であり、その強度は上部対流圏の2〜3倍弱いことに注意してください。赤道を横切る流れにより、運動量、熱、水分のモーメントが半球間で交換されます。さらに、活発な半球間交換の領域では、北半球と南半球の亜熱帯ジェット気流で平均風速の増加(最大40〜60 m / s)が観察されます。

熱帯の上部対流圏における東向きの輸送は、主にモンスーン循環のある地域の特徴です。大西洋と太平洋の熱帯海域では、上部対流圏の東部の輸送が西部の風に置き換わっています。この理由は、中央太平洋と中央大西洋の上部​​対流圏トラフの存在です。偏西風は、これらのトラフの前部で最も発達し、その速度がジェット気流(ST)の速度に達することがあります。

7月の下部成層圏(AT50)には、緯度10ºSに沿って配置された3つの高気圧高気圧からなる高圧帯が1つしかありません。太平洋、インド洋、大西洋上空。 SPの夏の成層圏極高気圧と組み合わせて、これらの亜熱帯高気圧は、20〜25ºNに沿った最大速度で成層圏東部STを形成します。 10ºS緯度の南のSP(冬)。成層圏亜熱帯高気圧は、南極上の冬の低気圧とともに、南極圏近くの極夜の端にある偏西風の強化に寄与します。


2.6 北半球の熱帯における大気循環

このセクションでは、基本的な研究(Petrosyants、Semenov、Gushchina et al。、2005)に従って、熱帯における大気循環の主な特徴について概説します。 1月には、北半球と南半球の亜熱帯高気圧の2つの帯が、熱帯帯の上の850hPaの表面の下部対流圏で区別されます。 7月に夏(北)半球の亜熱帯高気圧帯が東半球全体で乱された場合、1月の夏(南)半球では同様の乱れは検出されないことに注意してください。

SPの亜熱帯に広い土地がないため、太平洋、インド洋、大西洋に3つの強力な高気圧がドッキングすることが事実上保証されます。夏(南)半球の亜熱帯における地球規模の高圧帯の形成の直接的な結果は、SPの東部輸送の惑星の性質であり、これは、加熱された大陸の夏のモンスーンの間に幾分南にシフトするだけです。

1月のSP(7月のSPとは対照的に)では、赤道の偏西風とそれに伴う熱帯帯全体の夏季モンスーンの循環が、安定した東風によって温帯偏西風の惑星系から分離されています。逆に、北半球(冬)では、亜熱帯高気圧が大陸全体でよりよく表現され、北アフリカ(アラビアとヒンドゥスタン北部に大きな拍車がかかる)と東南アジアの大陸高気圧が追加されました。

1月の大西洋と太平洋上の亜熱帯高気圧。冬半球でのこれらの最大値の出現は、熱降下に取って代わり、西アフリカと南アジアでの冬季モンスーンの循環に関連しています。

冬季モンスーンの循環における北東風の最大強度は、ベンガル湾とアラビア海の海域で観測され、1月の平均は6 m / sです。 7月のこれらの地域における南西夏季モンスーンの強度の約半分。 7月から1月にかけての亜熱帯高気圧の中心の海上での季節的な動きは、アゾレス諸島(南に12度)とハワイ諸島(8度)の緯度がAT850です。 SPにおける亜熱帯高気圧の季節的な緯度の移動は重要ではなく、3〜4ºを超えません。

したがって、冬の半球では、亜熱帯高気圧の中心は、亜熱帯高気圧ゾーン全体とともに、冬には赤道に向かって移動し、夏には赤道から離れます。子午線方向の作用中心の動きは、南インド高気圧の緯度3〜4度から、北大西洋高気圧の緯度7〜10度までさまざまです。経度の高気圧の位置はより困難に変化します。 1月の赤道の谷は、南太平洋の温暖化した大陸の上にあります。

赤道トラフのAT850表面の流線の分野では、南アメリカ、赤道アフリカ、インド洋の中心、オーストラリア北西部、太平洋南西部の5つのサイクロンセンターが区別されます。サイクロン循環のある気候センターは、インド洋と南西太平洋の赤道域で区別されます。これは、これらの地域での非常に活発な熱帯低気圧形成の全体的な影響を反映しています。

一部の熱帯地域(特に東半球)での赤道と南緯10〜15度の間の下部対流圏の赤道偏西風の存在は、赤道トラフの領域でのサイクロン循環に関連しています。南(夏)半球に赤道トラフが存在し、北(冬)半球に亜熱帯気圧が上昇すると、1月に冬SPから夏SPまでの安定した赤道横断気流が形成されます。

ただし、下部対流圏での集中的な交換は、熱帯収束帯(ICZ)がモンスーンの特徴を持ち、赤道トラフとともに1月に南(夏)半球に移動する熱帯地域でのみ観察されます。 1月の700hPaの表面では、熱帯の大気循環の特徴は850hPaの表面と同じままです。

1月のAT700でのWZKは、依然として大気循環の主要なリンクであり、両方の半球のマクロスケールの風力システムを区切っています。 1月のAT850の中部対流圏では、SPの亜熱帯緯度での偏西風の急激な増加が顕著であり、これは亜熱帯高気圧の極周辺での熱帯気団の温帯緯度の西風との収束に関連しています。

SPの。 7月とは対照的に、1月には、赤道トラフのサイクロン循環が中部対流圏で完全に消失します。 1月のAT200の上部対流圏では、SPの亜熱帯でジェット電流(ST)が形成されます。同時に、7月とは対照的に、1月には、南(夏)半球から北(冬)半球への気団のより集中的なオーバーフローが観察され、SPの亜熱帯におけるSTの強化に貢献します。 。東風の分布域は、インドの盆地によって制限されています。

南アメリカの海と赤道地域。 1月の50hPaの表面で、下部成層圏では、25〜20°NのSPにある2つの強力な亜熱帯高気圧が、一方ではSPの偏西風を強め、他方ではそれらはSPの偏西風を強めます。夏(南)半球の成層圏偏西風の形成に寄与し、緯度20〜25ºに沿って最高速度を示します。

下部対流圏、850 hPaの表面では、7月に、亜熱帯高気圧が北半球と南半球で区別され、熱帯大気の主な作用中心である別々の亜熱帯高気圧に分割されます。

北(夏)半球には、そのような2つの中心があります。アゾレス諸島とハワイの亜熱帯高気圧です。南(冬)半球では、5つの亜熱帯高気圧が追跡されます。3つは海(南太平洋、南大西洋、南インド洋)、オーストラリアと南アメリカです。

これらの最大値の安定した存在は、OCAの主要なリンクの1つである熱帯の下部対流圏における東部(貿易風)輸送の並外れた恒常性を保証します。 7月のSPでは、亜熱帯高気圧がアフリカから東南アジアまでの広大な範囲で下部対流圏で引き裂かれ、ここでは、亜熱帯高気圧の代わりに、AT850に赤道を形成する多数の熱およびモンスーン低気圧があります。

トラフ。熱帯性大気の重要な作用中心であるこれらの低気圧は、安定した赤道付近の東半球のほぼ全体(ギニア湾の海岸から太平洋の西部まで)の下部対流圏での形成に寄与しています。別の本格的なACリンクが遺伝的に関連している西向きの移動-熱帯低気圧の循環。インド洋盆地上の夏のモンスーン循環の背後にある主な原動力は、インド北部のモンスーン陥没と南インド洋の亜熱帯高気圧の間の全圧降下です。

検討中の地域での赤道西部輸送の強化とモンスーン循環の形成は、赤道トラフの第2枝の冬(南)半球の赤道近くに存在することによっても促進されます。このトラフでは、赤道近くのインド洋の中央水域。これは、北半球の夏の間、強力で比類のない子午線気流の間にインド洋の西に形成されることに貢献します。

AT850マップの流線と等​​速線は、南東貿易風の南東風と、フィンドラター海流の赤道上をほぼ厳密に南下する輸送と、アラビア海の小春日和の循環における強力な南西海流との有機的な関係を明確に示しています。

海とヒンドゥスタン。 63インド洋流域に加えて、南東貿易風の北半球へのオーバーフローとそのモンスーン流への変換は、東大西洋とギニア湾でよく追跡されていますが、このプロセスは十字架よりもはるかに弱いです。 -インド洋上の赤道海流。西アフリカのモンスーンにおける南西風の平均速度は、2〜4 m / sを超えません。

南大西洋の高気圧システムを循環する気団のために、垂直方向の厚さが2.5〜3.0km以下のこの電流が形成されます。西半球では、赤道に関連する陸と海の独特の分布のために、7月に、コロンビアの海岸と南アメリカの赤道地域を除いて、赤道トラフの2番目(冬)の枝は不在で、モンスーン循環は発達しません。

850 hPaの表面の流線の7月の地図上で熱帯大気の注目された作用中心とそれらによって形成された気流に加えて、熱帯循環の最も重要なリンクがはっきりと現れています-熱帯収束帯(ICZ )、これは熱帯の重要な気象要因と気候である北半球と南半球の風システムを区切り、降水量の分布はその季節的な移動に関連しています。

VZKは、北緯8〜10度付近の合弁会社にあります。大西洋と太平洋上にあり、両方の半球の貿易風の中で海洋熱帯空気の塊が収束する領域を表しています。 7月の700hPaの表面には、一般に、850hPaの表面と考えられる大気循環の画像が残っています。東部(貿易風)輸送の速度はやや増加します。

IBCはよく表現されており、ほとんどすべての地域で3〜7度の緯度で赤道に近づいています。 7月の中部対流圏(AT500)では、熱帯の大気循環のパターンが下部対流圏と大きく異なります。まず第一に、強度が急激に減少し、熱帯モンスーン循環の分布域が減少しました。

インド洋の中心(SPの赤道近く)とヒンドゥスタン上にのみ、サイクロン循環が維持された2つの作用中心があり、アラビア海南部、ヒンドゥスタン、ベンガル湾上の強く弱まった南西モンスーンの流れを支えています。サイクロンviに加えて

北アフリカの高気圧、アラビア北部とペルシャ湾の高気圧、チベットの高気圧は、山の熱の影響に関連して、7月に北(夏)半球のAT500でヒンドゥスタンの北に現れます。 。 AT500では、亜熱帯高気圧ベルトの軸が赤道に向かってシフトし続けます(AT700の場合と同様)。その結果、SPではすでに10ºSの南にあります。亜熱帯の偏西風が観測されており、これは温帯緯度の惑星の偏西風の移動の端を表しています。

SPでは、偏西風は北緯30度の北でのみ観測されます。貿易風の速度が8-10m / sに達した下部対流圏と比較して、中部対流圏の熱帯における東風の強度はやや弱くなり、中部対流圏自体の東風の領域はほぼ完全に夏(北)半球に移った。東大西洋の10〜20°Nの地域でのみ。 AT500の東風速は10〜12 m / sに増加しました。

中部対流圏で始まった熱帯のACの再構築は、上部対流圏で完全に完了しています。したがって、7月のAT200には、サイクロン循環のあるセンターはもうなく、高圧ベルトのみが記録されています。亜熱帯最大軸の北側では、偏西風が各半球で観測され、そのシステムでは、南緯25度に沿った冬(南)半球が観測されます。

AT200には、速度30〜50 m / sの亜熱帯ジェット電流(SST)が形成されました。北(夏)半球では、著しく弱くなったSSTの個々の焦点は、中央アジアの40〜45°Nに沿ってのみ観察されます。上部対流圏の亜熱帯極大軸の間に囲まれた熱帯地域自体には、安定した東向きの輸送があります。東風帯の興味深い特徴の中には、柳井丸山の東波と呼ばれる移動性の大気擾乱が存在することがあります。

さらに、7月のAT200の熱帯地域全体で、夏(北)半球から冬(南)半球にかけて気団が激しく溢れています。下部対流圏では流れの方向が逆であり、その強度は上部対流圏の2〜3倍弱いことに注意してください。赤道を横切る流れにより、運動量、熱、水分のモーメントが半球間で交換されます。さらに、活発な半球間交換の領域では、北半球と南半球の亜熱帯ジェット気流で平均風速の増加(最大40〜60 m / s)が観察されます。 65熱帯の上部対流圏における東向きの輸送は、主にモンスーン循環のある地域の特徴である。

大西洋と太平洋の熱帯海域では、上部対流圏の東部の輸送が西部の風に置き換わっています。この理由は、中央太平洋と中央大西洋の上部​​対流圏トラフの存在です。偏西風は、これらのトラフの前部で最も発達し、その速度がジェット気流(ST)の速度に達することがあります。

7月の下部成層圏(AT50)には、緯度10ºSに沿って配置された3つの高気圧高気圧からなる高圧帯が1つしかありません。太平洋、インド洋、大西洋上空。 SPの夏の成層圏極高気圧と組み合わせて、これらの亜熱帯高気圧は、20〜25ºNに沿った最大速度で成層圏東部STを形成します。 10ºS緯度の南のSP(冬)。成層圏亜熱帯高気圧は、南極上の冬の低気圧とともに、南極圏近くの極夜の端にある偏西風の強化に寄与します。

ここで、は1951年から1980年までのすべての差の標準偏差gmです。現在、1866年から現在までの月平均SOIの連続シリーズがあります。太平洋の東部と中央部では、SOI指数が高い(低い)ほど、海面水温(SST)が低い(高い)ことが確立されているため、ENSO現象では2つの極端なフェーズが区別されます。

(エルニーニョ)SOI <0で、寒冷(ラニーニャ)SOI> 0。エルニーニョでは、東太平洋の海面は西太平洋の海面よりも約50cm高くなっています。ラニーニャ現象では、状況は逆になります。

熱帯では、太平洋の東部と西部の間で振幅約50cmの海面変動が観測されています。1866年から1966年までの長期的な一連のSOI指数のスペクトル分析。 SOIのスペクトル密度が2〜7年の範囲で最大値に達することを示しました。

研究によると、ENSOスペクトルには、年間周期ではなく、およそ1。2年のチャンドラー周期と18。6年の地球の強制章動の主周期の倍数である成分の存在が示されています(Sidorenkov、2002)。エルニーニョ南方振動(ENSO)現象は、地球規模で相互作用する海洋大気システムの年々変動の最も重要な要素の1つと見なされています。

したがって、多くの著者は、両方の遠隔地域のプロセスに対するENSO効果の影響を検討しました。熱帯と温帯の緯度。 「熱帯海洋-全球大気」(TOGA)プログラムは、熱帯太平洋の熱状態が全球気流に及ぼす影響の研究に専念しました。このプログラム(1985–1995)の結果、熱帯の地球循環に対するENSO現象の影響のメカニズムが明らかになりました(Gushchina、2003)。


2.6 北半球の熱帯における大気循環

このセクションでは、基本的な研究(Petrosyants、Semenov、Gushchina et al。、2005)に従って、熱帯における大気循環の主な特徴について概説します。 1月には、北半球と南半球の亜熱帯高気圧の2つの帯が、熱帯帯の上の850hPaの表面の下部対流圏で区別されます。 7月に夏(北)半球の亜熱帯高気圧帯が東半球全体で乱された場合、1月の夏(南)半球では同様の乱れは検出されないことに注意してください。

SPの亜熱帯に広い土地がないため、太平洋、インド洋、大西洋に3つの強力な高気圧がドッキングすることが事実上保証されます。夏(南)半球の亜熱帯における地球規模の高圧帯の形成の直接的な結果は、SPの東部輸送の惑星の性質であり、これは、加熱された大陸の夏のモンスーンの間に幾分南にシフトするだけです。 1月のSP(7月のSPとは対照的に)では、赤道の偏西風とそれに伴う熱帯帯全体の夏季モンスーンの循環が、安定した東風によって温帯偏西風の惑星系から分離されています。

逆に、北半球(冬)では、亜熱帯高気圧が大陸全体でよりよく表現され、北アフリカ(アラビアとヒンドゥスタン北部に大きな拍車がかかる)と東南アジアの大陸高気圧が追加されました。 1月の大西洋と太平洋上の亜熱帯高気圧。冬半球でのこれらの最大値の出現は、熱降下に取って代わり、西アフリカと南アジアでの冬季モンスーンの循環に関連しています。

冬季モンスーンの循環における北東風の最大強度は、ベンガル湾とアラビア海の海域で観測され、1月の平均は6 m / sです。 7月のこれらの地域における南西夏季モンスーンの強度の約半分。

7月から1月にかけての亜熱帯高気圧の中心の海上での季節的な動きは、アゾレス諸島(南に12度)とハワイ諸島(8度)の緯度がAT850です。 SPにおける亜熱帯高気圧の季節的な緯度の移動は重要ではなく、3〜4ºを超えません。

したがって、冬の半球では、亜熱帯高気圧の中心は、亜熱帯高気圧ゾーン全体とともに、冬には赤道に向かって移動し、夏には赤道から離れます。子午線方向の作用中心の動きは、南インド高気圧の緯度3〜4度から、北大西洋高気圧の緯度7〜10度までさまざまです。経度の高気圧の位置はより困難に変化します。

1月の赤道の谷は、南太平洋の温暖化した大陸の上にあります。赤道トラフのAT850表面の流線の分野では、南アメリカ、赤道アフリカ、インド洋の中心、オーストラリア北西部、太平洋南西部の5つのサイクロンセンターが区別されます。サイクロン循環のある気候センターは、インド洋と南西太平洋の赤道域で区別されます。これは、これらの地域での非常に活発な熱帯低気圧形成の全体的な影響を反映しています。

一部の熱帯地域(特に東半球)での赤道と南緯10〜15度の間の下部対流圏の赤道偏西風の存在は、赤道トラフの領域でのサイクロン循環に関連しています。南(夏)半球に赤道トラフが存在し、北(冬)半球に亜熱帯気圧が上昇すると、1月に冬SPから夏SPまでの安定した赤道横断気流が形成されます。ただし、下部対流圏での集中的な交換は、熱帯収束帯(ICZ)がモンスーンの特徴を持ち、赤道トラフとともに1月に南(夏)半球に移動する熱帯地域でのみ観察されます。

1月の700hPaの表面では、熱帯の大気循環の特徴は850hPaの表面と同じままです。 1月のAT700でのWZKは、依然として大気循環の主要なリンクであり、両方の半球のマクロスケールの風力システムを区切っています。 1月のAT850の中部対流圏では、SPの亜熱帯緯度での偏西風の急激な増加が顕著であり、これは亜熱帯高気圧の極周辺での熱帯気団の温帯緯度の西風との収束に関連しています。

SPの。 7月とは対照的に、1月には、赤道トラフのサイクロン循環が中部対流圏で完全に消失します。 1月のAT200の上部対流圏では、SPの亜熱帯でジェット電流(ST)が形成されます。同時に、7月とは対照的に、1月には、南(夏)半球から北(冬)半球への気団のより集中的なオーバーフローが観察され、SPの亜熱帯におけるSTの強化に貢献します。東風の分布域は、インドの盆地によって制限されています。

南アメリカの海と赤道地域。 1月の50hPaの表面で、下部成層圏では、25〜20°NのSPにある2つの強力な亜熱帯高気圧が、一方ではSPの偏西風を強め、他方ではそれらはSPの偏西風を強めます。夏(南)半球の成層圏偏西風の形成に寄与し、緯度20〜25ºに沿って最高速度を示します。 62下部対流圏、850 hPaの表面では、7月に、亜熱帯高気圧が北半球と南半球で区別され、熱帯大気の主な作用中心である別々の亜熱帯高気圧に分割されます。北(夏)半球には、そのような2つの中心があります。

アゾレス諸島とハワイの亜熱帯高気圧です。南(冬)半球では、5つの亜熱帯高気圧が追跡されます。3つは海(南太平洋、南大西洋、南インド洋)、オーストラリアと南アメリカです。これらの最大値の安定した存在は、OCAの主要なリンクの1つである熱帯の下部対流圏における東部(貿易風)輸送の並外れた恒常性を保証します。 7月のSPでは、亜熱帯高気圧がアフリカから東南アジアまでの広大な範囲で下部対流圏で引き裂かれ、ここでは、亜熱帯高気圧の代わりに、AT850に赤道を形成する多数の熱およびモンスーン低気圧があります。トラフ。

熱帯性大気の重要な作用中心であるこれらの低気圧は、安定した赤道付近の東半球のほぼ全体(ギニア湾の海岸から太平洋の西部まで)の下部対流圏での形成に寄与しています。別の本格的なACリンクが遺伝的に関連している西向きの移動-熱帯低気圧の循環。インド洋盆地上の夏のモンスーン循環の背後にある主な原動力は、インド北部のモンスーン陥没と南インド洋の亜熱帯高気圧の間の全圧降下です。

検討中の地域での赤道西部輸送の強化とモンスーン循環の形成は、赤道トラフの第2枝の冬(南)半球の赤道近くに存在することによっても促進されます。このトラフでは、赤道近くのインド洋の中央水域。これは、北半球の夏の間、強力で比類のない子午線気流の間にインド洋の西に形成されることに貢献します。 AT850マップの流線と等​​速線は、南東貿易風の南東風と、フィンドラター海流の赤道上をほぼ厳密に南下する輸送と、アラビア海の小春日和の循環における強力な南西海流との有機的な関係を明確に示しています。

海とヒンドゥスタン。 63インド洋流域に加えて、南東貿易風の北半球へのオーバーフローとそのモンスーン流への変換は、東大西洋とギニア湾でよく追跡されていますが、このプロセスは十字架よりもはるかに弱いです。 -インド洋上の赤道海流。西アフリカのモンスーンにおける南西風の平均速度は、2〜4 m / sを超えません。

南大西洋の高気圧システムを循環する気団のために、垂直方向の厚さが2.5〜3.0km以下のこの電流が形成されます。西半球では、赤道に関連する陸と海の独特の分布のために、7月に、コロンビアの海岸と南アメリカの赤道地域を除いて、赤道トラフの2番目(冬)の枝は不在で、モンスーン循環は発達しません。

850 hPaの表面の流線の7月の地図上で熱帯大気の注目された作用中心とそれらによって形成された気流に加えて、熱帯循環の最も重要なリンクがはっきりと現れています-熱帯収束帯(ICZ )、これは熱帯の重要な気象要因と気候である北半球と南半球の風システムを区切り、降水量の分布はその季節的な移動に関連しています。

VZKは、北緯8〜10度付近の合弁会社にあります。大西洋と太平洋上にあり、両方の半球の貿易風の中で海洋熱帯空気の塊が収束する領域を表しています。 7月の700hPaの表面には、一般に、850hPaの表面と考えられる大気循環の画像が残っています。東部(貿易風)輸送の速度はやや増加します。

IBCはよく表現されており、ほとんどすべての地域で3〜7度の緯度で赤道に近づいています。 7月の中部対流圏(AT500)では、熱帯の大気循環のパターンが下部対流圏と大きく異なります。まず第一に、強度が急激に減少し、熱帯モンスーン循環の分布域が減少しました。インド洋の中心(SPの赤道近く)とヒンドゥスタン上にのみ、サイクロン循環が維持された2つの作用中心があり、アラビア海南部、ヒンドゥスタン、ベンガル湾上の強く弱まった南西モンスーンの流れを支えています。サイクロンviに加えて

北アフリカの高気圧、アラビア北部とペルシャ湾の高気圧、チベットの高気圧は、山の熱の影響に関連して、7月に北(夏)半球のAT500でヒンドゥスタンの北に現れます。 。 AT500では、亜熱帯高気圧ベルトの軸が赤道に向かってシフトし続けます(AT700の場合と同様)。その結果、SPではすでに10ºSの南にあります。亜熱帯の偏西風が観測されており、これは温帯緯度の惑星の偏西風の移動の端を表しています。 SPでは、偏西風は北緯30度の北でのみ観測されます。貿易風の速度が8-10m / sに達した下部対流圏と比較して、中部対流圏の熱帯における東風の強度はやや弱くなり、中部対流圏自体の東風の領域はほぼ完全に夏(北)半球に移った。

東大西洋の10〜20°Nの地域でのみ。 AT500の東風速は10〜12 m / sに増加しました。中部対流圏で始まった熱帯のACの再構築は、上部対流圏で完全に完了しています。したがって、7月のAT200には、サイクロン循環のあるセンターはもうなく、高圧ベルトのみが記録されています。亜熱帯最大軸の北側では、偏西風が各半球で観測され、そのシステムでは、南緯25度に沿った冬(南)半球が観測されます。 AT200には、速度30〜50 m / sの亜熱帯ジェット電流(SST)が形成されました。北(夏)半球では、著しく弱くなったSSTの個々の焦点は、中央アジアの40〜45°Nに沿ってのみ観察されます。

上部対流圏の亜熱帯極大軸の間に囲まれた熱帯地域自体には、安定した東向きの輸送があります。東風帯の興味深い特徴の中には、柳井丸山の東波と呼ばれる移動性の大気擾乱が存在することがあります。さらに、7月のAT200の熱帯地域全体で、夏(北)半球から冬(南)半球にかけて気団が激しく溢れています。下部対流圏では流れの方向が逆であり、その強度は上部対流圏の2〜3倍弱いことに注意してください。

赤道を横切る流れにより、運動量、熱、水分のモーメントが半球間で交換されます。さらに、活発な半球間交換の領域では、北半球と南半球の亜熱帯ジェット気流で平均風速の増加(最大40〜60 m / s)が観察されます。 65熱帯の上部対流圏における東向きの輸送は、主にモンスーン循環のある地域の特徴である。

大西洋と太平洋の熱帯海域では、上部対流圏の東部の輸送が西部の風に置き換わっています。この理由は、中央太平洋と中央大西洋の上部​​対流圏トラフの存在です。偏西風は、これらのトラフの前部で最も発達し、その速度がジェット気流(ST)の速度に達することがあります。 7月の下部成層圏(AT50)には、緯度10ºSに沿って配置された3つの高気圧高気圧からなる高圧帯が1つしかありません。太平洋、インド洋、大西洋上空。

SPの夏の成層圏極高気圧と組み合わせて、これらの亜熱帯高気圧は、20〜25ºNに沿った最大速度で成層圏東部STを形成します。 10ºS緯度の南のSP(冬)。成層圏亜熱帯高気圧は、南極上の冬の低気圧とともに、南極圏近くの極夜の端にある偏西風の強化に寄与します。


2.7 閉じた渦、ソリトン、モドン、アンチサイクロンのブロック、惑星の波

モノグラフ「大気中の大規模な動的過程」(1988)では、GCAの構造とダイナミクスを分析する際に、特定の条件下で、半球循環パターンの特定の部分が構成をとることができることに注意してください。ここで、流れは等価順圧になり、絶対渦の輪郭は次のように配置されます。

潜在的な渦の移動とジオポテンシャルの傾向は重要ではありません。 β効果が重要な役割を果たさず、平均帯状流と傾圧が通常かなり弱い極域では、閉じた低気圧性および高気圧性の乱気流が安定した構成をとることがよくあります。このようなシステムは、北極圏のジオポテンシャルフィールドで観測された1日、2日、および3日のシフトとの相関の高い値、およびこの地域の全体的な変動に対する低周波変動の大きな寄与に関与しています。

中緯度では、このような安定した長寿命のフロー構成を発生させるために、より具体的な条件が必要です。このような条件は、気候の帯状流と傾圧が最も弱い海の東部で最も頻繁に実現され、非定常摂動の振幅は、強い偏西風の帯でも頻繁に閉じた渦を観測するのに十分な大きさです。これらの緯度では、そのような長寿命の構造物はしばしば所有しています。

高緯度の高気圧が低緯度の高気圧と対になると、それらは双極子成分を形成します。これらの双極子構造は通常、ソリトンおよびモドンと呼ばれる理想的な流れの構成と比較されます(大規模...、1988)。大気の量子力学への別のアプローチは、粒子と呼ぶことができ、ソリトンやモドンなどの安定した構造の研究で開発されました。

これらは、非線形力学方程式の特別な局所解です。これらの方程式で記述される2つのメカニズム(非線形相互作用と線形分散)はそれぞれ、局所構造を破壊する可能性があります。ただし、まとめると、それらは互いに打ち消し合い、何らかの構造を保持することができます。

大気力学では、線形分散は平均流におけるロスビー波の影響として現れ、非線形性は移流に関連しています。この研究から次のように、Longはβチャネルのソリトン解を見つけ、Bennyは摂動理論を使用して、ロスビー波のKorteweg-deVries方程式を導き出しました。

ソリトンはこの方程式の正確な解であり、順圧渦度方程式の近似にすぎず、弱い分散と非線形性に対してのみ形式的に有効です。 Korteweg-de Vries方程式(またはその修正)は、1つの空間変数のみへの依存性を記述します。これは、検討中の作業では経度です。緯度依存性は、境界条件に課せられた制約によって決定されます。

Redekopは、ロスビーソリトンの理論をより詳細に開発しました。順圧渦度方程式の別の可能なタイプの局所解は、Sternによって得られました。そのモーダルソリューションは、均一な帯状流に対して静止している円で囲まれた双極子です。

モドンは近似解ではなく正確ですが、境界円上に不連続性があります。 LarichevとReznikは、Sternモドンを一般化し、外部ソリューションを追加することで境界の滑らかさを向上させました。これにより、急速な減衰により、モドンの局所的な特性が維持されます。このようなモドンは、均一な帯状の流れに対して移動します。

同等の順圧および傾圧の場合のモドンのさらなる一般化が作業で実行され、双極子モドンを一度構築すると、さまざまな単極「ライダー」をそれに追加できることが示されています。 McWilliamsは、同等の順圧モドンのパラメータと、1963年1月に北大西洋で観測された大気双極子ブロックの特性との間のおおよその対応を確立しました。

モドンタイプの構造が気候と天気のモデリングに使用される場合、必要な解像度の問題これはかなりの関心を集めるからです。知られているように、有限差分法の欠点は、線形分散の歪みであり、波の流れの伝播の群速度の値に誤差が生じます。モドンの直径ごとに5つのグリッド間隔に対応するスペクトル表現では、速度はわずか15%減少しました。

グローバルスペクトルモデムは、低解像度でも、波の周波数が15までの菱形の切り捨てで、大気ブロックの構造を再現できます。近年、広大な地域の気象条件を決定する冬と夏の両方の状況を遮断する役割が高まっています。モデル数値実験は、GCAの特定の平衡状態を区別します。

したがって、Charney-Devora MCAでは、「ゾーンフロー」と「ブロッキング」の2つの「グローバル循環モード」が得られました。大気中のサイクルインデックスの変動(海面での平均緯度45oと55o SP圧力値の通常の差)は、数週間から数か月の時間範囲で発生します。観測から、帯状の惑星の流れは、ヨーロッパにとって大西洋のサイクロンのファミリーの通過を意味し、曇り、降水量、気団内の前線、風などをもたらすことが知られています。このような状況での気象条件の予測可能性は、傾圧不安定性がサイクロン活動の主なメカニズムと考えられているという事実のために低いです。

対照的に、ブロッキング状況は通常、晴天、冬は寒く、夏は暖かく、数日から1か月(場合によってはそれ以上)安定していることを意味します。ブロッキング状況には、温帯緯度の対流圏界面レベ​​ルにまで及ぶ順圧プロセスの特徴があります。研究の初期には、主な西向きの流れの順圧不安定性(水平方向のウィンドシア)の結果としてブロッキングが発生すると想定されていました。

しかし、その後、次の大気運動の強い非線形相互作用の観点が普及し始めました:準定常惑星波(帯状波数m = 1÷4)、その性質は外部強制に根ざしています:赤道-極温度コントラスト、大陸と海、山脈と熱源の分布);遅い惑星波(m = 5÷10)、内部の性質は主流の傾圧不安定性にあり、中程度の速い波緯度(シノプティック乱気流m> 10)、自然-傾圧的に不安定な前面の摂動。

ロスビー波と呼ばれる超長静止および長く低速の惑星波、両方とも大気の作用の中心(恒久的および季節的)、および発生する空間的に共役な「スイング」-長距離接続。ブロッキング基準この研究(Shakina、Ivanova、Birman、Skriptunova、2011)は、ブロッキング高気圧の発生と維持のメカニズム、それらの予測と気候学に関連する幅広い問題を検討しました。

2010年の異常に暑く乾燥した夏の気象条件の分析に特に注意が払われています。この一般化作業の主な規定を考慮してください。安定性の高い高気圧はブロッキング高気圧と呼ばれ、中緯度での一般的な西向きの輸送を妨害します。伝統的に、そのような高気圧は500hPaの高い表面高さの領域として定義されていました。ブロッキングの存在と強度の定量的基準は、(Rex、1950)で提案されました。ブロッキングは次のように定義されました。 500 hPa表面のジオポテンシャル高度zの勾配は、緯線50および70ºNの経度ごとに(4×4º地理グリッド上で)計算されました。およびその周辺(±4ºN):


2.7 閉じた渦、ソリトン、モドン。高気圧の遮断。惑星波

モノグラフ「大気中の大規模な動的過程」(1988)では、GCAの構造とダイナミクスを分析すると、特定の条件下で、半球循環パターンの特定の部分が次のような構成をとることができることに注意してください。流れは同等の順圧になり、絶対渦の等高線は、輸送渦ポテンシャルとジオポテンシャルの傾向が重要でないように配置されます。 β効果が重要な役割を果たさず、平均帯状流と傾圧が通常かなり弱い極域では、閉じた低気圧性および高気圧性の乱気流が安定した構成をとることがよくあります。このようなシステムは、北極圏のジオポテンシャルフィールドで観測された1日、2日、および3日のシフトとの相関の高い値、およびこの地域の全体的な変動に対する低周波変動の大きな寄与に関与しています。中緯度では、このような安定した長寿命のフロー構成を発生させるために、より具体的な条件が必要です。このような条件は、気候の帯状流と傾圧が最も弱い海の東部で最も頻繁に実現され、非定常摂動の振幅は、強い偏西風の帯でも頻繁に閉じた渦を観測するのに十分な大きさです。これらの緯度では、高緯度の高気圧が低緯度の高気圧と対になっている場合、このような長寿命の構造には双極子成分が含まれることがよくあります。これらの双極子構造は通常、ソリトンおよびモドンと呼ばれる理想的な流れの構成と比較されます(大規模...、1988)。大気の量子力学への別のアプローチは、粒子と呼ぶことができ、ソリトンやモドンなどの安定した構造の研究で開発されました。これらは、非線形力学方程式の特別な局所解です。これらの方程式で記述される2つのメカニズム(非線形相互作用と線形分散)はそれぞれ、局所構造を破壊する可能性があります。ただし、まとめると、それらは互いに打ち消し合い、何らかの構造を保持することができます。大気力学では、線形分散は平均流におけるロスビー波の影響として現れ、非線形性は移流に関連しています。この研究から次のように、Longはβチャネルのソリトン解を見つけ、Bennyは摂動理論を使用して、ロスビー波のKorteweg-deVries方程式を導き出しました。ソリトンはこの方程式の正確な解であり、順圧渦度方程式の近似にすぎず、弱い分散と非線形性に対してのみ形式的に有効です。 Korteweg-de Vries方程式(またはその修正)は、1つの空間変数のみへの依存性を記述します。これは、検討中の作業では経度です。緯度依存性は、境界条件に課せられた制約によって決定されます。 Redekopは、ロスビーソリトンの理論をより詳細に開発しました。順圧渦度方程式の別の可能なタイプの局所解は、Sternによって得られました。そのモーダルソリューションは、均一な帯状流に対して静止している円で囲まれた双極子です。モドンは近似解ではなく正確ですが、境界円上に不連続性があります。 LarichevとReznikは、Sternモドンを一般化し、外部ソリューションを追加することで境界の滑らかさを向上させました。これにより、急速な減衰により、モドンの局所的な特性が維持されます。このようなモドンは、均一な帯状の流れに対して移動します。同等の順圧および傾圧の場合のモドンのさらなる一般化が作業で実行され、双極子モドンを一度構築すると、さまざまな単極「ライダー」をそれに追加できることが示されています。 McWilliamsは、同等の順圧モドンのパラメータと、1963年1月に北大西洋で観測された大気双極子ブロックの特性との間のおおよその対応を確立しました。モドンタイプの構造が気候と天気のモデリングに使用される場合、必要な解像度の問題これはかなりの関心を集めるからです。知られているように、有限差分法の欠点は、線形分散の歪みであり、波の流れの伝播の群速度の値に誤差が生じます。モドンの直径ごとに5つのグリッド間隔に対応するスペクトル表現では、速度はわずか15%減少しました。グローバルスペクトルモデムは、低解像度でも、波の周波数が15までの菱形の切り捨てで、大気ブロックの構造を再現できます。近年、広大な地域の気象条件を決定する冬と夏の両方の状況を遮断する役割が高まっています。モデル数値実験は、GCAの特定の平衡状態を区別します。したがって、Charney-Devora MCAでは、「ゾーンフロー」と「ブロッキング」の2つの「グローバル循環モード」が得られました。大気中のサイクルインデックスの変動(海面での平均緯度45oと55oのSP圧力値の通常の差)は、からの時間範囲で発生します

2.8 地域の気候変動に対する循環システムの影響研究

(Dzyuba、2009)によると、正相 NAOは、亜寒帯大西洋における負圧ano- 71 の頻度の増加に対応し、その結果、アイスランド地域の大気のサイクロン渦度の増加。海から大気への熱流束は増加しています。曇りの量は大気圧と逆相で変化します。雲の放射強制力は、特に冬季に、海上の気温の上昇につながります。

NAO位相が正の亜熱帯緯度では、正圧異常の発生頻度が優勢です。亜熱帯緯度と亜寒帯緯度の間の圧力勾配が増加します。亜熱帯から極緯度までのゾーンで優勢な対流圏の輸送の西部成分は増加しています。関連するサイクロンと前線システムは、大西洋からユーラシアの周極緯度に大量の暖かく湿った空気を送ります。その一般的なSATの増分は正です。東に進むと、大西洋の気団は熱と湿気を放出し、徐々にその特性を変化させます。

したがって、考慮されるメカニズムは、SPの近極域の西部(1900年から2005年の期間で65-75ºN、60ºW-110º E)でのみ特徴的です。負のNAOフェーズでは、大気圧、雲量、海洋と大気の間の熱交換の強さ、および帯状循環の変化の逆緯度分布。その結果、西部の周極星帯におけるSATの負の年々の増分の再発が増加し、SATの減少が観察されます。大西洋-ユーラシア地域の北西部の気温レジームに対するNAOの影響の提案されたメカニズムはに対応します。大気と海洋のビリアル方程式の解に従って、大気中の絶対渦と地球のシェルシステムの振動過程の動的平衡を維持するための条件(Ferronskie、2007年)。 SAT進化の考えられるメカニズム周極帯の大西洋-ユーラシア部分の105年間は、統計的に安全です。記述されたメカニズムの振動性は、北大西洋の負の気候関係に起因する可能性があります。

亜寒帯大西洋の正のNAO相では、低気圧性、地表風速、および海洋から大気への熱伝達の増加により、SSTが低下します。これにより、 72 気温の上昇、相互作用の強度が減少し、その結果、負の大気圧異常の数、NAO値が減少し、西-東輸送の強度が減少します。雰囲気が落ちます。その結果、ユーラシア大陸の北西部に送られる大西洋気団の量は少なくなり、さらに気温も低くなります。

おそらく、これが大西洋の経年変化(65〜75年)の振動が実現される方法であり、その間に正の異常が海面水温で約1860年から1880年まで、および 1930年から1960年まで記録されました。そして負-1905年から1925年までと1970年から1990年まで。約0.4°Cの範囲で。この場合、北大西洋は、周極帯の西部で観測されたSATの方向変化の振幅と持続時間の調整器です。(Bardin、2005)によると、冬季にNAOはを提供します。ヨーロッパおよびユーラシア西部における大気圧場の変動の30〜50%。

この研究の著者は、ここ数十年で蔓延している正のNAOフェーズは、北大西洋(55〜75®N)および地中海地域の南東部で統計的に有意に増加したサイクロンの頻度を伴うだけではないことを示しました。 、だけでなく、それらの強化によって..。同時に、北大西洋の温帯緯度(35〜55®N)およびヨーロッパのほとんどの地域では、サイクロンの頻度(強度ではない)は正の位相では低くなっています。

集中的なNAOフェーズ中の高気圧の頻度は、北緯30〜40度の亜熱帯循環、および深さと面積で最大に増加します。亜熱帯では、ヨーロッパの大西洋岸近くとヨーロッパの北東部(Muravyov、Kulikova、 Kruglova、2009)。気象学における半球全体の積分インデックスの使用の最初の例は、 KGに属しています。ロスビーとE.N.ブリノバ。緯度帯における大気の平均相対回転角速度は、国内の文献では「ブリノバ指数」と呼ばれています。

ブリノバ循環指数(IC)のスペクトル振動密度は、12日目に鋭い最大値を示します。同時に、このインデックス自体の変化のプロセスは、定常的ではなく、よく発音された年間コースを伴う定期的なランダムプロセスと見なされます。数週間から数か月にわたる世界的な変動は、「長期の天気予報の目的で最も興味深い」と報告されています。 73 大気循環指数は、低周波大気変動の理論の枠組みの中で考慮され、最初に提案されます。

1980年代気象体制の概念BCAの低い部分の範囲は、総観変動を超えた変動をカバーすることが現在では受け入れられています。 (Blackman、1976)の初期には、典型的な周期が10日を超えるすべての振動が低周波数範囲に割り当てられていました。その後、この範囲は 2に細分されました。最初の範囲には1週間から1か月の間の変動が含まれ、 2番目の範囲には月ごとの解像度のすべての変動が含まれます。この区分は、月次および季節の天気予報の慣行と一致しており、その基本的な違いは次のとおりです。

月次予測で初期データとboundary条件の両方が重要である場合、季節予測では境界条件が主な要因ですが、初期条件は決定的な役割を果たしなくなります。最初のケースでは、最大数の大規模プロセスと現象のみが予測間隔で変更できます。プロセスのフェーズは予測の対象となります。これは、最新のモデリングの主で困難なタスクです。季節予報の場合、モードの数は、地域の統計的特性(頻度、予想期間、強度、遷移確率)を予測するのに十分な場合があります。

傾圧による数値実験の結果を分析するときに、気象モードの概念が定式化されました。モデルチャーニーでは、傾圧波を急速に振動させる平均流が重ね合わされています。体制の概念は、惑星と総観の動きのスケールの非線形相互作用の結果として一時的に形成された大気の準安定状態に関連付けられています。提案された概念の枠組み内では、システムはモード間でスイングしているように見え、したがって、低周波変動を生成します。

気象学の研究では、これら2つの運動スケールの相互作用は、ブロッキング状況と嵐の軌跡の研究で考慮されます。地衡流乱流における負の粘性の基本的な概念は、気候変動の動的パラダイムを定式化することを可能にします。このパラダイムでは、これらの変化は、環境に重大な人為的影響を与えることなく発生します。

特に、(Thompson、1998)では、北大西洋振動(NAO)の正のトレン- 74 家が、1970年代半ば以降に観測されたもののほぼ半分を説明しています。北緯40度以北のヨーロッパ、シベリア、アジアの温暖化モナンの定義によれば、気候の構成要素としてのGCAは、大気の状態における大規模な構成要素の統計集団です。不規則な開始時間と予測不可能な期間を伴う気象体制の概念は、この定義にいくつかの改良が追加された場合、統計集団の観点から正当化することもできます(たとえば、空間的ローカリゼーションとバロトロピック的に同等の文字)。

明らかに、この場合、アンサンブルはテールにグループ化された分布のサンプルで構成されます。振り子で大まかに類推すると、レジームは安定した静止点の近くの領域ではなく、速度がゼロに低下する偏向点の近くの領域です。このアプローチでは、気象レジームはICの極値によって特徴付けられ、極値偏差の分析はランダムプロセスの外れ値の分析に還元されます。明らかに、IC表現の離散性は、変動の総観スケールに対応する必要があります。

In(Mokhov、Khon、2005)では、大気の作用中心の特性における年々および長期の変化の分析(北半球に位置するACA)は、19世紀の終わりから21世紀の初めまでの期間に関連するさまざまな経験的データと、再分析の結果を使用して実行されました。長期的な地表近くの温暖化が最も重要である冬には、CDAの特性に大きな変化が見られました。 20世紀の後半に。アリューシャン低気圧と北大西洋の活動中心の強化の統計的に有意な傾向が注目されます。

さまざまな経験的データから得られたシベリアのアンチサイクロンの変化の傾向は異なります。北太平洋CDAの特性とエルニーニョ/ラニーニャ現象の間に統計的に有意な関係が認められました。エルニーニョ(ラニーニャ)の間に、アリューシャン低気圧は深まり(弱まり)、東(西)に移動し、ハワイの高気圧の弱まり(強まり)と南(北)に移動します。

20世紀の終わりに注意されます。エルニーニョ層とラニーニャ層の地域では、北太平洋AACの特性と海面水温との間に相関関係が増加しました。ウェーブレット分析は、20世紀の終わりまでに 75 までにそれを示しました。エルニーニョの特徴であるアリューシャンとハワイの活動中心の4〜6年の周期性が強まっています。 CAAは、陸域気候システムの大規模な構造形成であり、準恒久的な亜熱帯高気圧の形で現れます。海上の亜寒帯のサイクロン層、および大陸上の季節的な層。冬には、北半球の対流圏(SP)で、海洋のアイスランドとアリューシャンの最小値がで示されます。

海面での圧力場(サイクロン)、海面での圧力場のアゾレスとハワイの最大値(高気圧)、および大陸のシベリアとカナダの高気圧CAAは、一般的な大気循環の状態を特徴づけます(GCA)そして全体としての気候システム。それらの変動は、大気中の大きなゾーニングまたは子午面循環の発現、大気レジームの低気圧性または反低気圧性の程度に関連しています。重要な地域の特徴は、CDA、および世界規模のプロセスに関連しています。

北大西洋振動(NAO)指数は、大気循環 SPの冬の数十年変動のメインモードであり、アイスランドサイクロンとアゾレスアンチサイクロンの特性によって直接決定されます。 CDA の特性の変動は、エルニーニョ-南方振動などの現象も明らかにするはずです。これは、地球規模の気候の年々変動の最も重要な要素です。

大気中の渦活動に影響を与える地球規模の人為的気候変動もCDAの特性に現れます。シベリア高気圧の影響を受けている北アジアの冬季には、ここ数十年の著しい地表近くの温暖化が見られます。北米北部の地表付近の温度の重大な異常は、アリューシャン列島のサイクロンの特性に関連しています。 K。ロスビーとE.N.の研究におけるCDAの形成モード。ブリノバはロスビー-ブリノバ波を使用して調査されました。これらの波のエネルギーのかなりの部分は静止成分に含まれており、対流圏の時間平均圧力場の正と負の異常として現れます。

一方、CDAは大規模な構造として特徴付けることができます。下部対流圏の気圧場の大規模な異常は、主に 76 n熱係数によって決定されますが、それらの局在と強度は地形性効果に依存すると結論付けられます。 CDAの形成に主に寄与するモードの分析式が得られます。モデル式により、大気中のGHGの含有量の変化によって引き起こされる地球規模の人為的変化、およびエルニーニョなどの現象に関連する自然の変化に対するCDAの特性の感度の定性分析を行うことができます。

研究(Zveryaev、Gulev、2007)では、 XX世紀のヨーロッパの気温と降水場の形成におけるNAOの役割。気温と降水量の経年変化に対するNAOの最大の寄与は、冬に観察されます。冬には、気温と降水量の主要な要素とNAOインデックスとの相関が高く、20世紀を通じて統計的に有意です。それらは、60年代の終わりから著しく強化されてきた前向きな傾向を示しています。この増加は、 NAOのポジティブな傾向と、ここ数十年の地球温暖化の激化の両方に関連しています。一般に、降水量の相関は気温の相関よりも著しく高くなります。

温暖期には、NAOの役割が弱まり、それに伴うヨーロッパ地域への熱と湿気の移流が起こります。夏の時間では、ローカルプロセスの役割が増加します。ヨーロッパでの気温と降水量の変動に対するNAOの影響の増加または減少を特徴とする期間が強調表示されます。 NAOの影響力の弱体化は、他の大気循環モードの増加を伴う可能性があります。この研究の結果は、ヨーロッパの気候の形成とその変動のメカニズムが時間とともに大幅に変化することを示しています。したがって、地域の気候をモデル化および予測する場合、正常に機能する予測スキームでさえ定期的に改訂および更新する必要があります。

(Gazina、Sokolikhina、Volodin、2007)では、アゾレス高気圧の特性(面積、中央から北へのシフト)とエルニーニョ現象の間に関係が見つかりました。 Gによって発見された大気圧の3つの「世界変動」 .Walkerは、OCAのプロセスにおいて非常に重要です。これらは、北大西洋(NAO)、北太平洋(NRO)、および南(SO)の振動です。それらのそれぞれは、対応する亜熱帯高気圧の大気圧の長期的な変化の結果であり、準定常的な気圧形成または大気作用の中心と見なされます(Vershovsky、 Kondratovich)。 L.T. .. Matveev(Matveev、 2000)、大気渦の進化への重要な貢献は、熱移流と渦の子午線変位の性質によって行われます。

中部対流圏のサイクロン渦は、寒冷移流と変位によって強化されます。より低い緯度への渦の。 高気圧性乱気流の発達は、高緯度への熱移流と変位によって促進されます。これらの結論の妥当性は、数日の時間スケールでの大気プロセスの総観分析の実践によって確認されました。 CDAの強度の変化と地球の自転速度の変動との関係を明らかにする試みがなされています。

N.S.の調査によるとシドレンコフとV.スター、空気置換地球の自転が減速している間、赤道から極に向かう方向に大きな質量が存在することで、地球-大気システムの全角運動量の保存が保証されます。 NS。シドレンコフは、地球の自転速度と大気循環の特性の変化との間に相関関係があることを発見しました。大気循環の時代、気候特性、指標(Sidorenkov、2004)。記事(Popova、Shmakin、 2006)は、一般に、1951年から2004年の2年間の期間を示しています冬の平均気温の変動の最大の割合は、SCANDインデックスによって記述されるゾーン輸送をブロックするメカニズムの変化によって説明されますが、NAO インデックスは気温変動の2番目に大きな要因です。

1970年代半ば以降の現代の温暖化。これは、NAOインデックスの正の位相での帯状移動の増加に関連しており、この期間中に温度変動の主な役割を果たしました。 1970年代半ばまで。冬の気温の変動は、主にSCANDインデックスの変化に起因していました。これらの循環メカニズムの主要な役割の変化は、下部成層圏の循環レジームの弱い循環渦から強いものへの遷移と一致します。ここ数十年で、大規模な正の地表気温の頻度大規模な大気循環の変化に伴う高緯度 78 ユーラシアでのサイクロン活動の激化により、異常が増加しました。これは、多くの指標、特にNAOインデックスの変動に反映されています。

NAO変動冬季のロシア全土の平均気温の変動の32%のみを説明します。 In(Nesterov、2009)では、大西洋-ヨーロッパ地域の大気循環の低周波変動は、関連する変動によって特徴付けられることに注意してください。一部の地域で。これらの振動を定量的に説明するために、特に700hPaの等圧面のジオポテンシャルに関するデータに従って計算されるインデックスが使用されます。大西洋-ヨーロッパ地域では、次の指標が最も重要です。 NAO-北大西洋振動。 EA-東大西洋振動; ÅА/ WR-振動東大西洋-西ロシア; SCA-スカンジナビアの振動; POL-極振動-ユーラシア北大西洋振動は、ヨーロッパの天気と気候に最大の影響を与えると考えられています。

この問題の重要な側面の1つは、北大西洋振動と北大西洋のサイクロンの軌道との関係です。同時に、多くの研究は、NAOインデックスだけでは変動性を説明するのに十分ではないと述べています。大西洋-ヨーロッパ地域の循環特性の分析。 (Rogers、1997)で、北大西洋のサイクロン(嵐の軌跡)の軌道の変動は、主に北大西洋の北東部の圧力異常によるものであることがわかりましたが、NAOインデックスは関連付けられています中央部のストームトラックの位置が緯度方向に変化します。

(Mailier、 2006)では、NAOインデックスは、ストームトラックの南東部におけるサイクロンの数と軌道の変動性を説明していないことが示されています。同じ研究で、大西洋-ヨーロッパ地域のサイクロンの特性の変動性を説明する上でのÅА、ÅА/ WR、SCA、およびPOLインデックスの重要な役割が指摘されています。ストームトラックの変動の物理的性質が研究され、 NAOインデックスがサイクロンの軌道の緯度変化を反映している場合、 EAインデックスはサイクロンの強度と数の変化を反映していると結論付けられます。この論文は、北大西洋の東部の大気に対する海洋の重要な影響を指摘しています。

この論文では、EAおよびNAOインデックスに特別な注意を払い、NAOインデックスをNAOと呼びます。 NAOの特性を調査し、NAOの特性と比較するために、1月のEAおよびNAOインデックス 1950〜2007年に使用されました。このシリーズから、インデックスの5つの最大値(絶対値)とのさまざまな組み合わせが選択されました(表2.2)が、絶対値でのインデックスの値は0.3以上である必要があり、 NAOとÅА(表の上の4行)の最大値は、インデックスの組み合わせ(下の4行)で繰り返さないでください。

NAO <0の組み合わせについて、これらの条件下で作成者に。 EA <0は3年しか選択できませんでした。表のデータに基づいて、すべてのケースで、大西洋ヨーロッパ地域の表面圧力異常(Po)と表面気温(To)の異常の複合フィールドが構築されました。 EACの正相(EA> 0)30o Nの北の北大西洋をカバーする、負の表面圧力異常Poの広大な領域によって特徴付けられますニューファンドランドの最大東にあります。

正のNAOフェーズ(NAO> 0)との主な違いは、NAO> 0は、アイスランドの最小値に負の異常の中心(中心)とソースを持つ圧力異常の双極子構造によって特徴付けられることです。アゾレス諸島の最大値の正の異常。これにより、帯状移動が増加します。どちらの場合もポジティブな特徴があります。

ロシアのヨーロッパ地域で3o Cを超える最大のヨーロッパでの異常。ただし、 EA> 0の場合、この領域はNAO> 0と比較して東にシフトします。負のVAC位相(EA <0)は、正の異常の中心が間にあるPo異常の双極子構造によって特徴付けられます。 アイスランドとイギリス、そして熱帯大西洋の東部における負の異常の中心。同様の双極子構造を持つ負のNAOフェーズ(NAO <0)との主な違いは、北の中心が南東にシフトし、南の中心が南にシフトし、両方の中心の大きさがよりも弱いことです。

NAO <0で。どちらの場合も、子午面循環の増加が発生し、ヨーロッパの中心部で大きな(絶対値で)値(最大–5® C)を持つ負の表面温度異常Toがヨーロッパで形成されますEA <0のロシアの一部。 80 Analysis(Nesterov、2009)は、大西洋-ヨーロッパの地域における循環と温度レジームの最大の変化は、正のNAOフェーズと負のVACフェーズの組み合わせの場合に発生することを示しました。これにより、NAO> 0のゾーン循環特性が弱まり、ヨーロッパの正の異常Toの領域が減少します。

表2.2 表2.21950年から2007年の1月のNAOおよびEAインデックスの絶対値が最も高い年。1950年から2007年の1月のNAOおよびEAインデックスの絶対値が最も高い年。


正のNAOフェーズとEACフェーズの組み合わせは、ロシアのヨーロッパ地域の西部で1月の気温の上昇につながる可能性があります。負のNAOフェーズと負の EACフェーズの組み合わせは、分布に根本的な変化を引き起こしません。北大西洋の圧力異常の割合、およびNAO <0が正と組み合わされると、VACフェーズは圧力異常間の境界の位置を変更します。どちらの場合も、ヨーロッパの負の異常Toは(絶対値で)小さくなります。

VAKインデックスとNAOインデックスの比較、およびさまざまな関連する大西洋ヨーロッパ地域(AER)の大気循環と気温レジームの特徴インデックスの組み合わせ、明らかに:-1月のAERの循環と温度のモードの最大の変化は、正のNAOフェーズを背景に、VACの負のフェーズが発生した場合に発生し、の弱体化につながります。ヨーロッパにおける帯状循環と気温の低下。 81 -1950年から2007年までのEAインデックスとNAOインデックスの最長の違い。 EA指数がNAO指数を大幅に上回った1996年から2007年に観察されました。

この現象の理由は、北大西洋におけるサイクロンの低気圧発生と軌道の特性の変化、特に北大西洋からヨーロッパに移動するサイクロンの軌道の北方へのシフトであり、これが気温の上昇につながった。スカンジナビアと1996年から2007年のコラ半島で..。

1984年と比較して-1995年 -2006 / 07年のヨーロッパの異常に暖かい冬の理由の1つは、2006年4月のサイクロン軌道の北方へのシフトでもあります- 2007年3月、これは主に正の増加で現れましたVAKのフェーズは、この期間中のエルニーニョ現象の発生に関連している可能性があります。 2006年11月から12月にかけて、ヨーロッパの異常に暖かい冬の前に、北大西洋の西部で海から大気への熱流束が増加したことが注目されました。


第3章へつづく