エントランスへはここをクリック   

旧中山道、信州 宿場探訪

茂田井宿(旧立科町)1

青山貞一 Teiichi Aoyama
池田こみち Komichi Ikeda

May 15, 2015
Alternative Media E-wave Tokyo
無断転載禁
信州 宿場探訪 (中山道 長久保宿〜望月宿)
長久保宿 1 長久保宿 2 長安寺 笠取峠・芦田宿
茂田井宿 1 茂田井宿 2 茂田井宿 3 望月宿1
望月宿 2 望月氏・望月城跡 城光院 大伴神社
望月資料館 1 望月資料館 2 望月資料館 3

◆茂田井宿

 芦田宿を後に、私達は茂田井宿に向かいました。茂田井も立科町にあります。


撮影:青山貞一 Nikon Coolpix S8 2015-5-4

 下の地図では、赤い線が旧中山道、黄色の142号線が国道(中山道)です。地図では左にある宿が芦田宿、右側にある宿が望月宿、その中央に茂田井宿がありました。


左が芦田宿、右が望月宿、その中央に茂田井宿がありました
出典:中山道六十九次 旧中山道地図 旧街道地図

 良質米の産地茂田井間の宿 茂田井間の宿(もたいあいのしゅく)は村高九百六十七石六斗八合。江戸から数えて四十五里二十六町十四間、往還通りの長さ二十一町二間の宿場です。

 茂田井間の宿は望月宿・芦田宿で対応できない大通行の際に、「間の宿」として使われていました。

 茂田井地方は良質米の産地として名をはせており、小諸藩主や家臣らは茂田井産の米のみを毎年江戸まで輸送させたほどでした。

 そのような良質米の産地にふさわしく、造り酒屋二軒があります。

 歌人若山牧水は望月に歌友が多く、吟客として逗留したという。宿のかたわらには牧水の歌碑があります。


出典:現地入手のパンフ表紙

 茂田井宿(もたいしゅく) 長野県佐久市、中山道の望月宿と芦田宿の間にある間の宿です。今でも国道より外れて古い土蔵などがならぶ昔の面影が色濃く残る宿場です。

 しかし、茂田井宿は中山道の宿場リストにはありません。これは、幕府から認められた宿ではなかったからです。

 江戸時代、幕府は宿場以外での旅人の宿泊を禁じていたので、茂田井宿は他の宿場と趣を異にしています。

 茂田井宿には武重本家酒造と大澤酒造という二つの蔵元があります。大澤酒造は茂田井村の名主を代々勤めた家柄で、1689年(元禄2年)より酒造を始めました。

 武重本家酒造の裏に映画「たそがれ清兵衛」のオープンセットが作られ、撮影が行われています。


撮影:青山貞一 Nikon Coolpix S8 2015-5-4

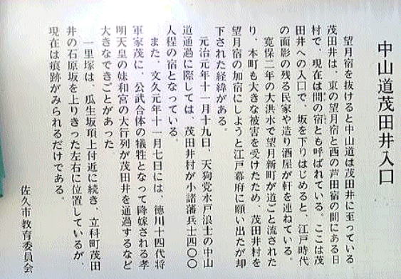
◆中山道茂田井入口

 望月宿を抜けると中山道は茂田井に至っている。

 茂田井は東の望月宿と西の芦田宿の間にある日村で、現在は間の宿(あいのしゅく)とも呼ばれている。ここは茂田井への入り口で坂を下り始めると、江戸時代の面影の残る民家や造り酒屋が軒を連ねている。

 寛保2年の大洪水で望月新町が町ごと流されたり、本町も大きな被害を受けたため、茂田井村を望月宿の加宿にしようと江戸幕府に願い出たが、却下された経緯がある。

 元治元年11月19日、天狗党水戸浪士の中山道通過に際しては、茂田井村が小諸班兵士400人ほどの宿となっている。

 また、文久元年11月7日には、徳川十四代将軍家茂に、公武合体の犠牲となって降嫁される孝明天皇の妹、和宮の大行列が茂田井を通過するなど大きな出来事があった。

 一里塚や瓜生坂頂上付近に続き、立科町茂田井の石原坂を上り切った左右に位置しているが現在は痕跡が見られるだけである。

佐久市教育委員会



撮影:池田こみち Nikon Coolpix S6400 2015-5-4


撮影:池田こみち Nikon Coolpix S6400 2015-5-4

 下は茂田井の高札場跡です。


撮影:池田こみち Nikon Coolpix S6400 2015-5-4


撮影:池田こみち Nikon Coolpix S6400 2015-5-4

 下は上の「茂田井村下組高札場跡」に書かれている内容です。

◆茂田井村下組高札場跡

 江戸時代、庶民に法令を徹底させるため、ここに高札を掲げた。高札場は、名主宅前に設けられることが多い。

 大澤家は文元二年(1737)より明治四年(1871)に至るまで、茂田井村名主を勤め、元治元年(1864)11月19日、水戸浪士天狗党中山道通過の際、それを追ってきた小諸藩兵士の本陣となった。

出典:茂田井間の宿保全・活性化事業実行委員会


つづく